Официальное опубликование правовых актов
ОФИЦИАЛЬНОЕ ОПУБЛИКОВАНИЕ
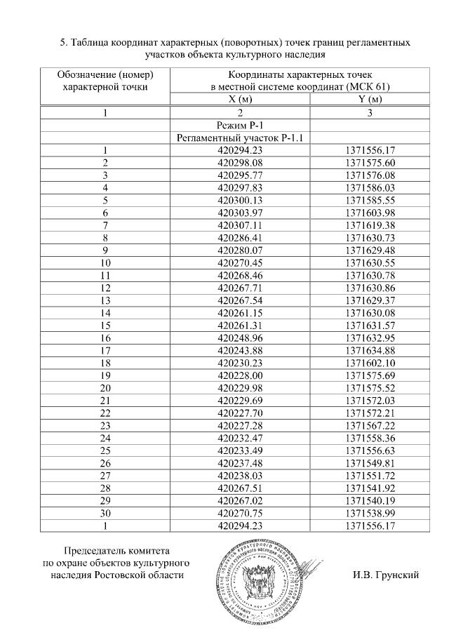
Постановление Комитета по охране объектов культурного наследия Ростовской области от 25.11.2020 № 20/01-01/4751
"Об установлении требований к осуществлению деятельности и градостроительным регламентам в границах территории объекта культурного наследия регионального значения (достопримечательного места) "Банковская площадь (б. Монастырская)" по адресу: Ростовская область, г. Таганрог, ул. Александровская, на пересечении с пер. Лермонтовским"
Номер опубликования: 6101202012020028
Дата опубликования: 02.12.2020
Страница №6 из 6:
Увеличить