Официальное опубликование правовых актов
ОФИЦИАЛЬНОЕ ОПУБЛИКОВАНИЕ
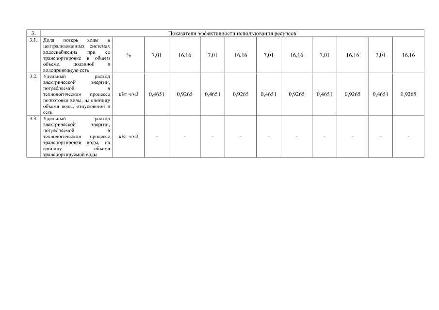
Постановление Региональной службы по тарифам Ростовской области от 20.10.2020 № 41/19
"О корректировке производственной программы в сфере холодного водоснабжения ООО "Водоканал" (ИНН 6103600191), Багаевский район, на 2021 год"
Номер опубликования: 6101202010270017
Дата опубликования: 27.10.2020
Страница №5 из 10:
Увеличить