Официальное опубликование правовых актов
ОФИЦИАЛЬНОЕ ОПУБЛИКОВАНИЕ
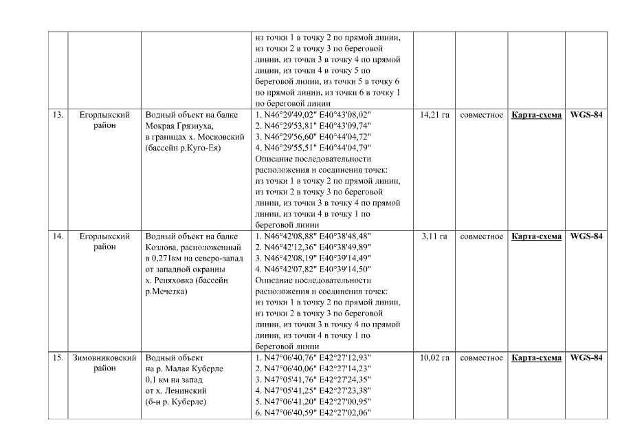
Постановление Министерства сельского хозяйства и продовольствия Ростовской области от 20.10.2020 № 81
"Об определении границ рыбоводных участков на территории Ростовской области"
Номер опубликования: 6101202010210029
Дата опубликования: 21.10.2020
Страница №7 из 29:
Увеличить