Официальное опубликование правовых актов
ОФИЦИАЛЬНОЕ ОПУБЛИКОВАНИЕ
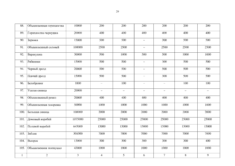
Постановление Министерства природных ресурсов и экологии Ростовской области от 12.10.2020 № П-27
"Об утверждении перечня разрешенных для добычи видов птиц, обитающих на территории Ростовской области"
Номер опубликования: 6101202010140001
Дата опубликования: 14.10.2020
Страница №29 из 31:
Увеличить