Официальное опубликование правовых актов
ОФИЦИАЛЬНОЕ ОПУБЛИКОВАНИЕ
Постановление Комитета по охране объектов культурного наследия Ростовской области от 21.09.2020 № 20/01-01/3222
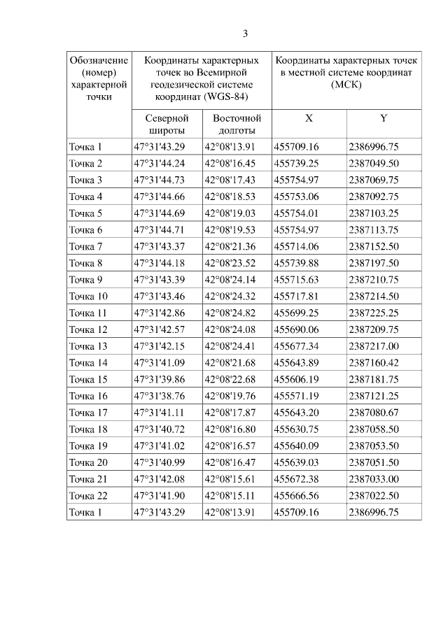
"Об утверждении границ территории выявленного объекта культурного наследия "Архитектурный ансамбль центра г. Волгодонска, 1952 г., арх. Поляков В.П. - Административное здание – почтамт; - Административное здание; - Дворец культуры "Юность", расположенного по адресу: Ростовская область, г. Волгодонск, ул. Ленина, 1; ул. Советская, 2; ул. Ленина, 2"
Номер опубликования: 6101202009290001
Дата опубликования: 29.09.2020
Страница №3 из 4:
Увеличить