Официальное опубликование правовых актов
ОФИЦИАЛЬНОЕ ОПУБЛИКОВАНИЕ
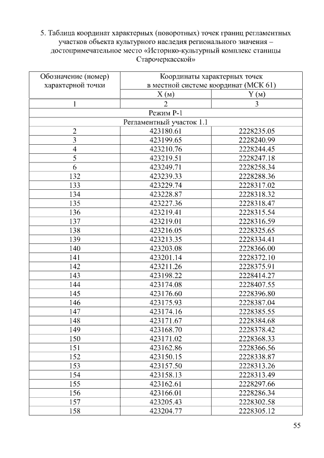
Постановление Комитета по охране объектов культурного наследия Ростовской области от 16.12.2019 № 20/01-01/1934
"О включении выявленного объекта культурного наследия – достопримечательное место "Историко-культурный комплекс станицы Старочеркасской" в единый государственный реестр объектов культурного наследия (памятников истории и культуры) народов Российской Федерации, об утверждении предмета охраны, границ территории и об установлении требований к осуществлению деятельности и градостроительным регламентам в границах территории объекта культурного наследия"
Номер опубликования: 6101201912190088
Дата опубликования: 19.12.2019
Страница №55 из 81:
Увеличить