Распоряжение Министерства сельского хозяйства и продовольствия Ростовской области от 10.08.2018 № 60
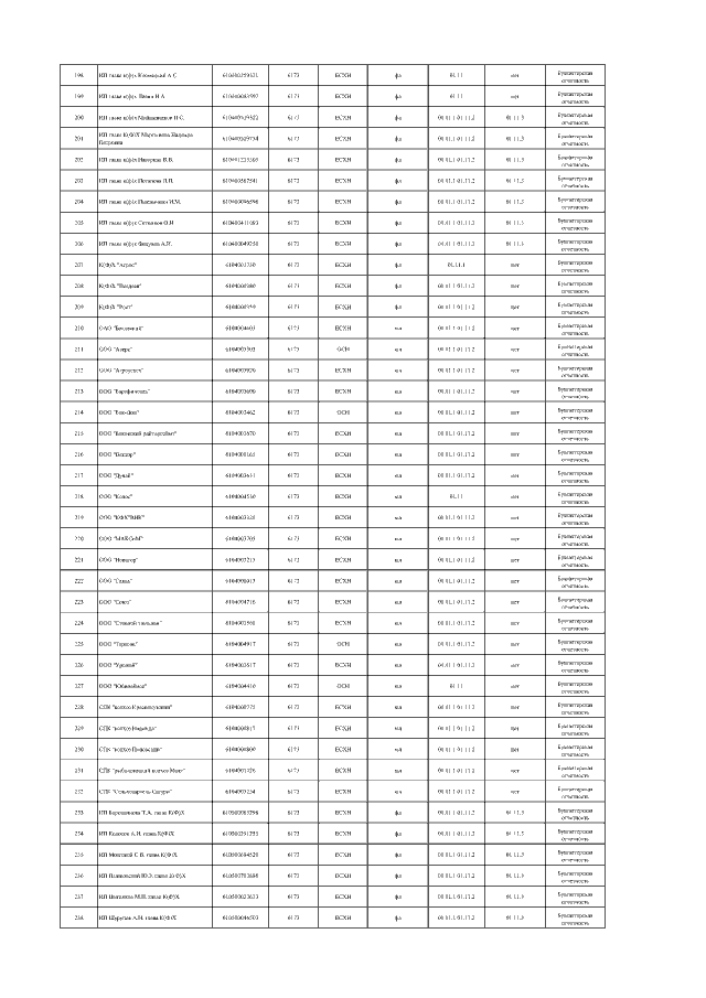
"О Реестре товаропроизводителей агропромышленного комплекса Ростовской области, производящих сельскохозяйственную продукцию"
"О Реестре товаропроизводителей агропромышленного комплекса Ростовской области, производящих сельскохозяйственную продукцию"
Номер опубликования: 6101201808150003
Дата опубликования:
15.08.2018
