Официальное опубликование правовых актов
ОФИЦИАЛЬНОЕ ОПУБЛИКОВАНИЕ
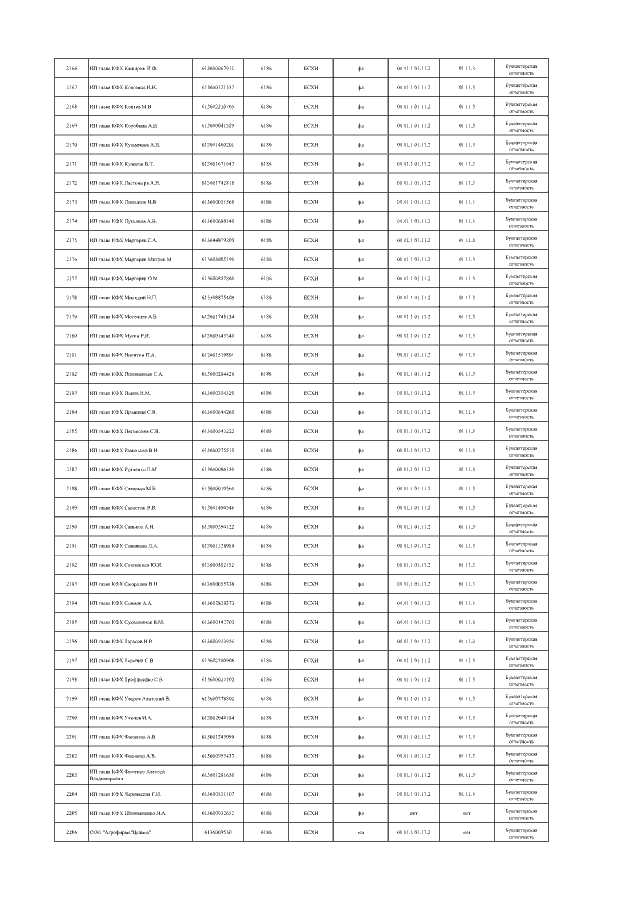
Распоряжение Министерства сельского хозяйства и продовольствия Ростовской области от 10.08.2018 № 60
"О Реестре товаропроизводителей агропромышленного комплекса Ростовской области, производящих сельскохозяйственную продукцию"
Номер опубликования: 6101201808150003
Дата опубликования: 15.08.2018
Страница №55 из 198:
Увеличить