Официальное опубликование правовых актов
ОФИЦИАЛЬНОЕ ОПУБЛИКОВАНИЕ
Постановление Министерства труда и социального развития Ростовской области от 06.09.2017 № 41
"Об утверждении Административного регламента предоставления государственной услуги "Предоставление ежемесячной денежной выплаты на третьего ребенка или последующих детей"
Номер опубликования: 6101201709120001
Дата опубликования: 12.09.2017
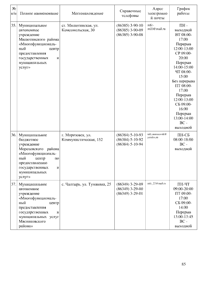
Страница №85 из 92:
Увеличить