Официальное опубликование правовых актов
ОФИЦИАЛЬНОЕ ОПУБЛИКОВАНИЕ
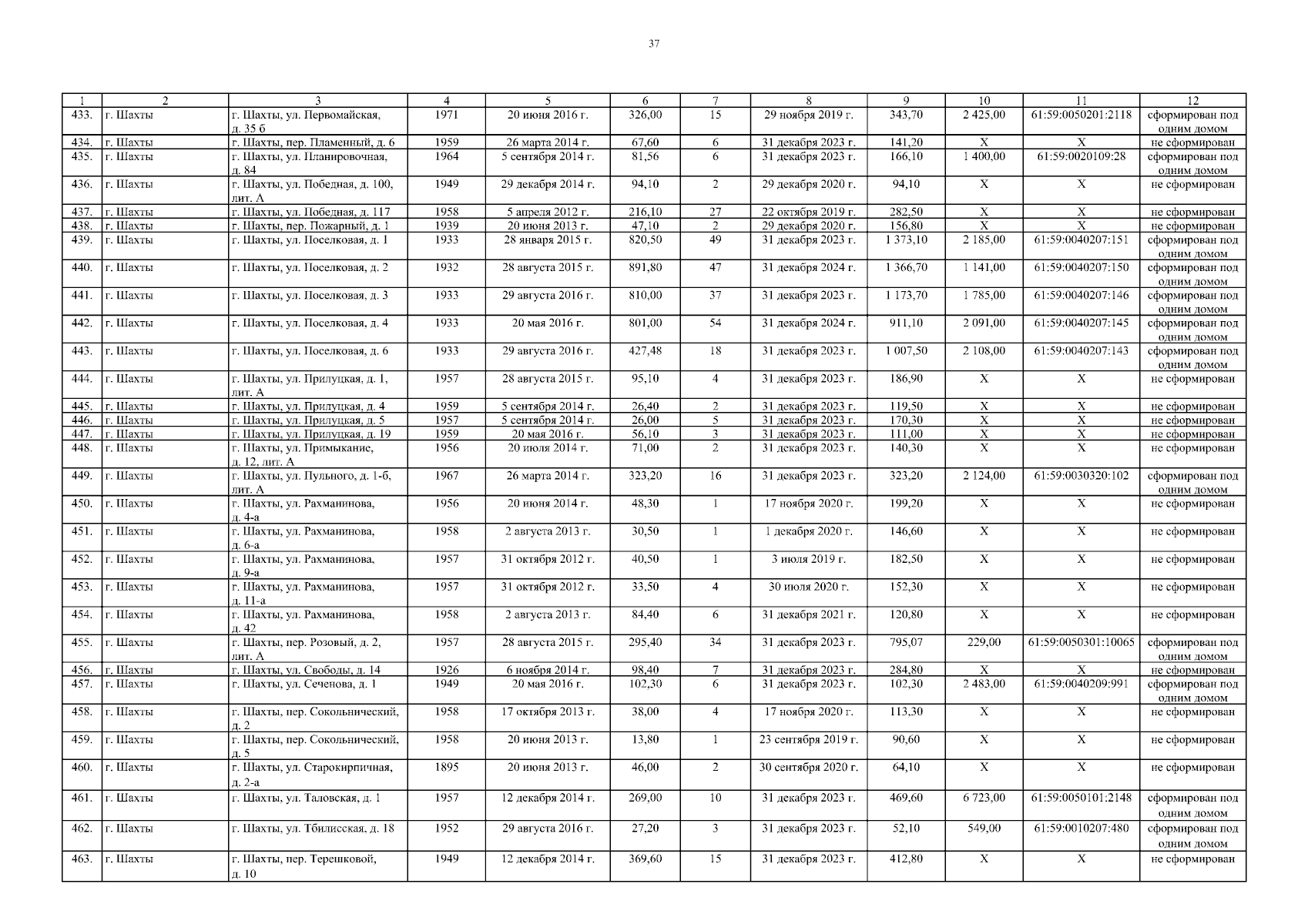
Постановление Правительства Ростовской области от 02.03.2026 № 161
"О внесении изменений в постановление Правительства Ростовской области от 12.08.2016 № 569"
Номер опубликования: 6100202603030008
Дата опубликования: 03.03.2026
Страница №37 из 58:
Увеличить