Официальное опубликование правовых актов
ОФИЦИАЛЬНОЕ ОПУБЛИКОВАНИЕ
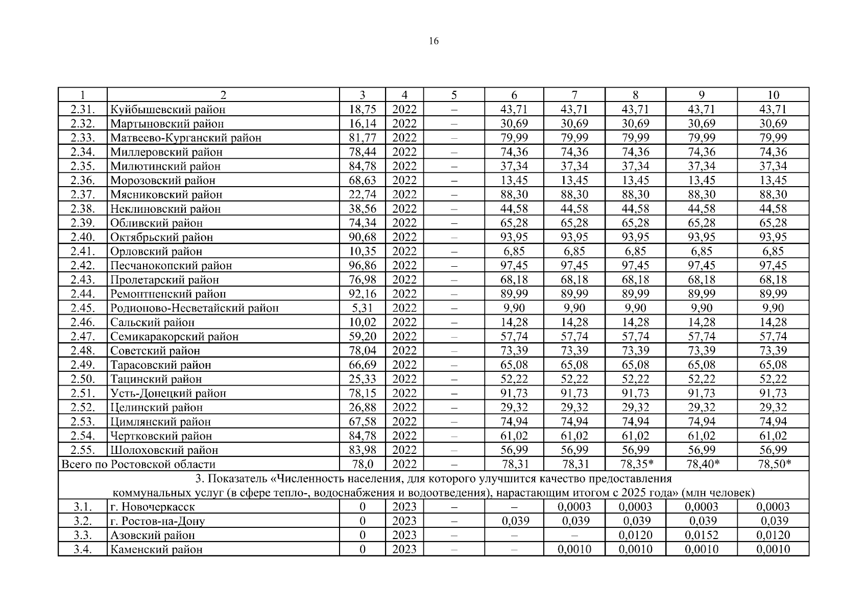
Постановление Правительства Ростовской области от 30.01.2026 № 76
"О внесении изменений в постановление Правительства Ростовской области от 17.10.2018 № 650"
Номер опубликования: 6100202602050026
Дата опубликования: 05.02.2026
Страница №16 из 78:
Увеличить