Официальное опубликование правовых актов
ОФИЦИАЛЬНОЕ ОПУБЛИКОВАНИЕ
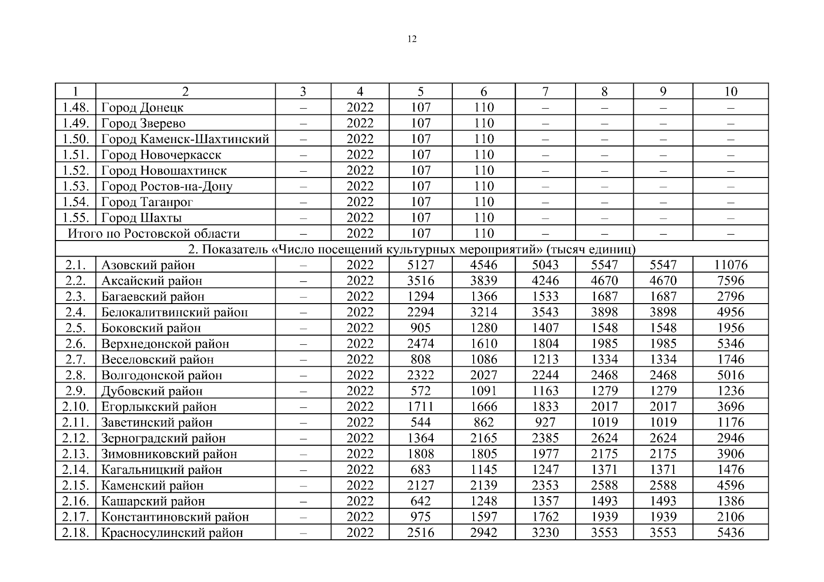
Постановление Правительства Ростовской области от 30.01.2026 № 78
"О внесении изменений в постановление Правительства Ростовской области от 17.10.2018 № 653"
Номер опубликования: 6100202602050010
Дата опубликования: 05.02.2026
Страница №12 из 121:
Увеличить