Официальное опубликование правовых актов
ОФИЦИАЛЬНОЕ ОПУБЛИКОВАНИЕ
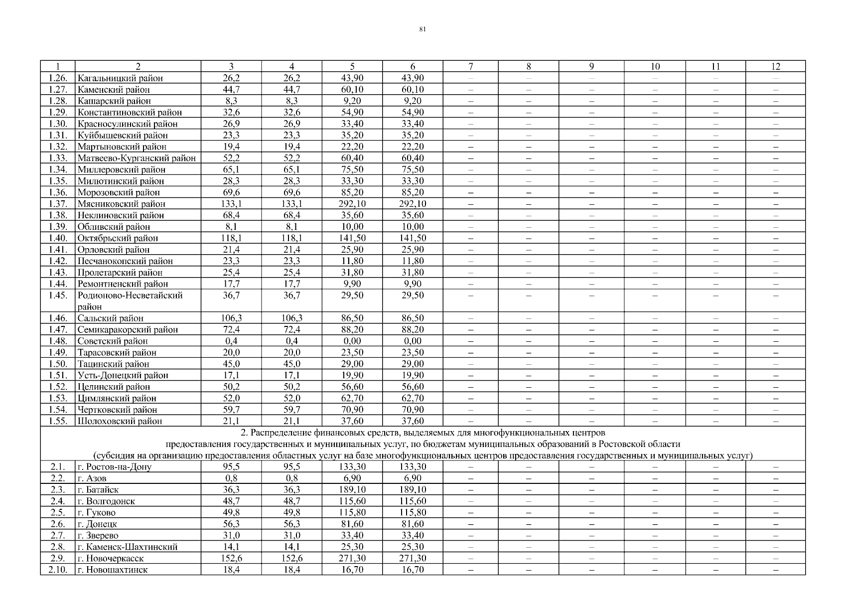
Постановление Правительства Ростовской области от 28.01.2026 № 67
"О внесении изменений в постановление Правительства Ростовской области от 15.10.2018 № 640"
Номер опубликования: 6100202601300009
Дата опубликования: 30.01.2026
Страница №81 из 95:
Увеличить