Официальное опубликование правовых актов
ОФИЦИАЛЬНОЕ ОПУБЛИКОВАНИЕ
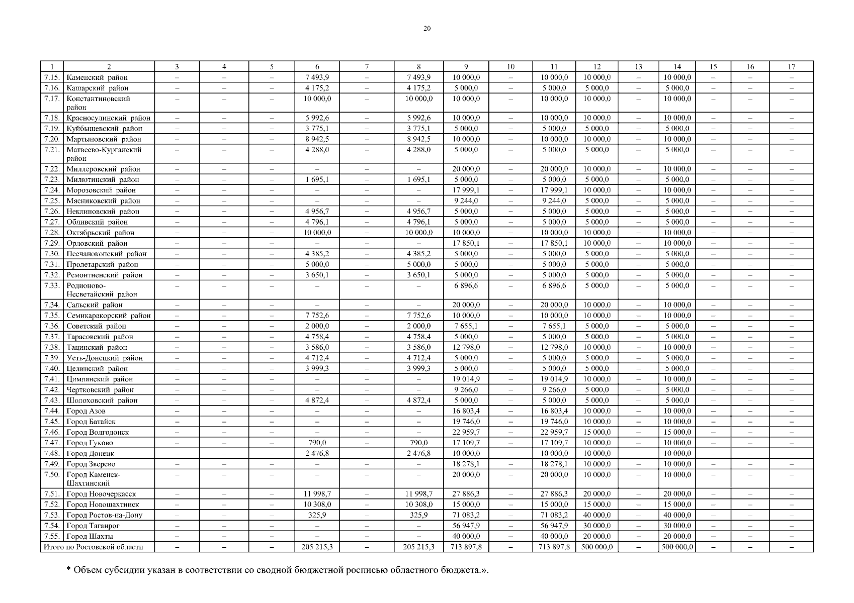
Постановление Правительства Ростовской области от 30.12.2025 № 340
"О внесении изменений в постановление Правительства Ростовской области от 31.08.2017 № 597"
Номер опубликования: 6100202512300036
Дата опубликования: 30.12.2025
Страница №20 из 45:
Увеличить