Официальное опубликование правовых актов
ОФИЦИАЛЬНОЕ ОПУБЛИКОВАНИЕ
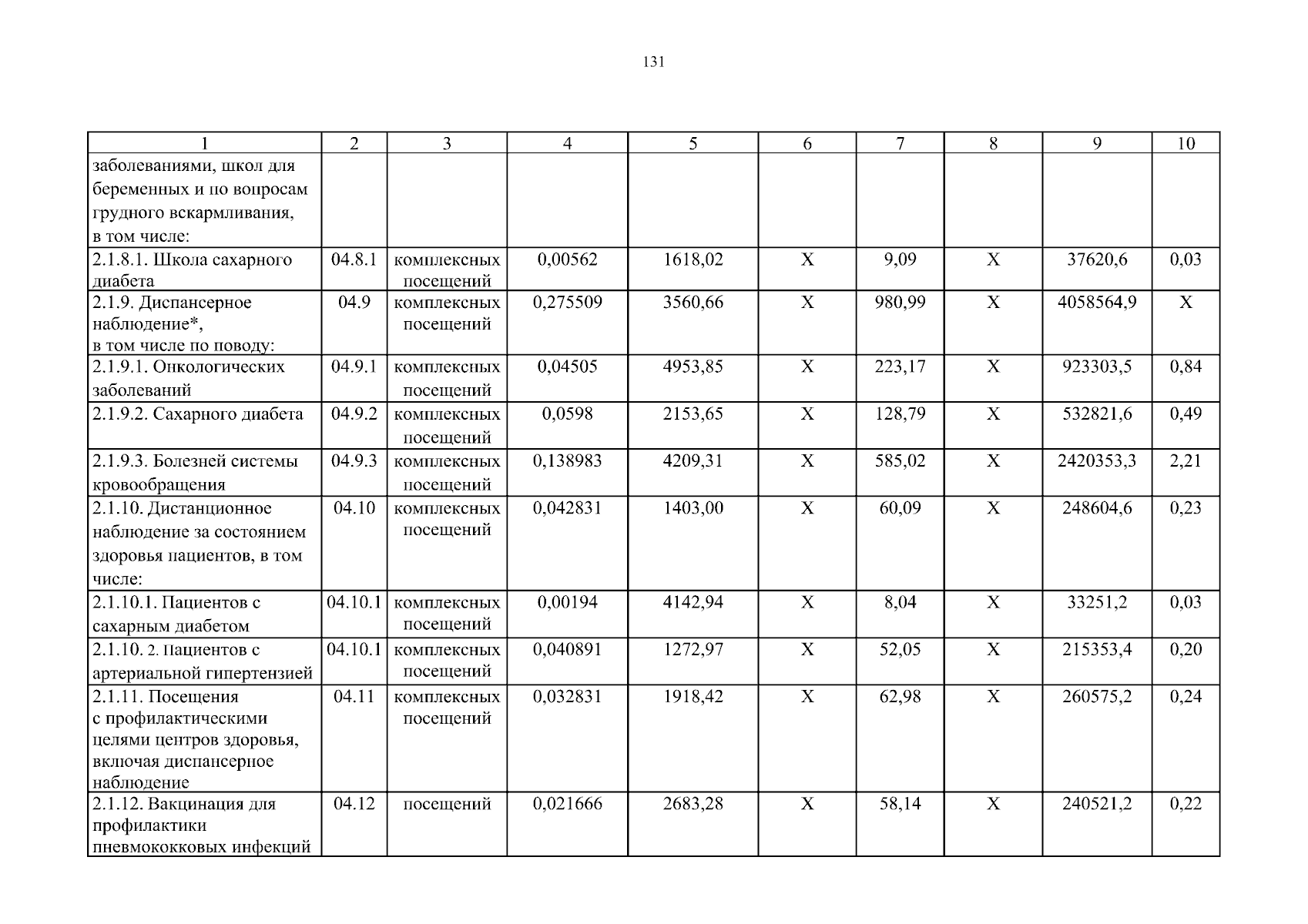
Постановление Правительства Ростовской области от 29.12.2025 № 339
"О Территориальной программе государственных гарантий бесплатного оказания гражданам медицинской помощи в Ростовской области на 2026 год и плановый период 2027 и 2028 годов"
Номер опубликования: 6100202512300035
Дата опубликования: 30.12.2025
Страница №131 из 395:
Увеличить