Официальное опубликование правовых актов
ОФИЦИАЛЬНОЕ ОПУБЛИКОВАНИЕ
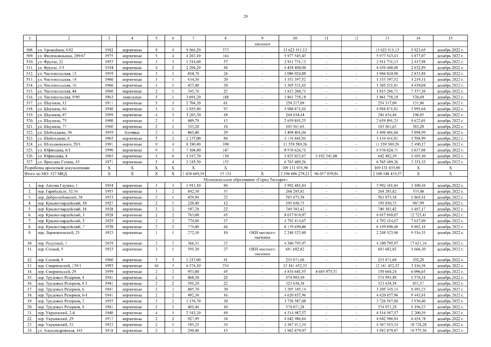
Постановление Правительства Ростовской области от 22.12.2025 № 289
"О внесении изменений в постановление Правительства Ростовской области от 30.12.2021 № 1148"
Номер опубликования: 6100202512240022
Дата опубликования: 24.12.2025
Страница №20 из 78:
Увеличить