Официальное опубликование правовых актов
ОФИЦИАЛЬНОЕ ОПУБЛИКОВАНИЕ
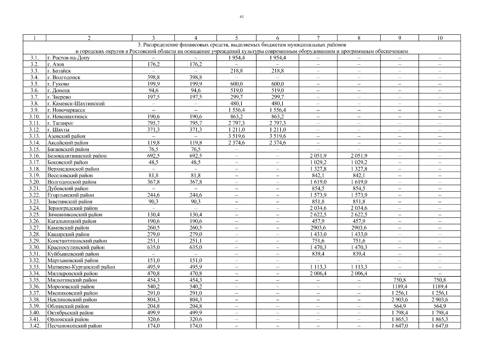
Постановление Правительства Ростовской области от 22.12.2025 № 274
"О внесении изменений в постановление Правительства Ростовской области от 15.10.2018 № 640"
Номер опубликования: 6100202512240009
Дата опубликования: 24.12.2025
Страница №61 из 62:
Увеличить