Официальное опубликование правовых актов
ОФИЦИАЛЬНОЕ ОПУБЛИКОВАНИЕ
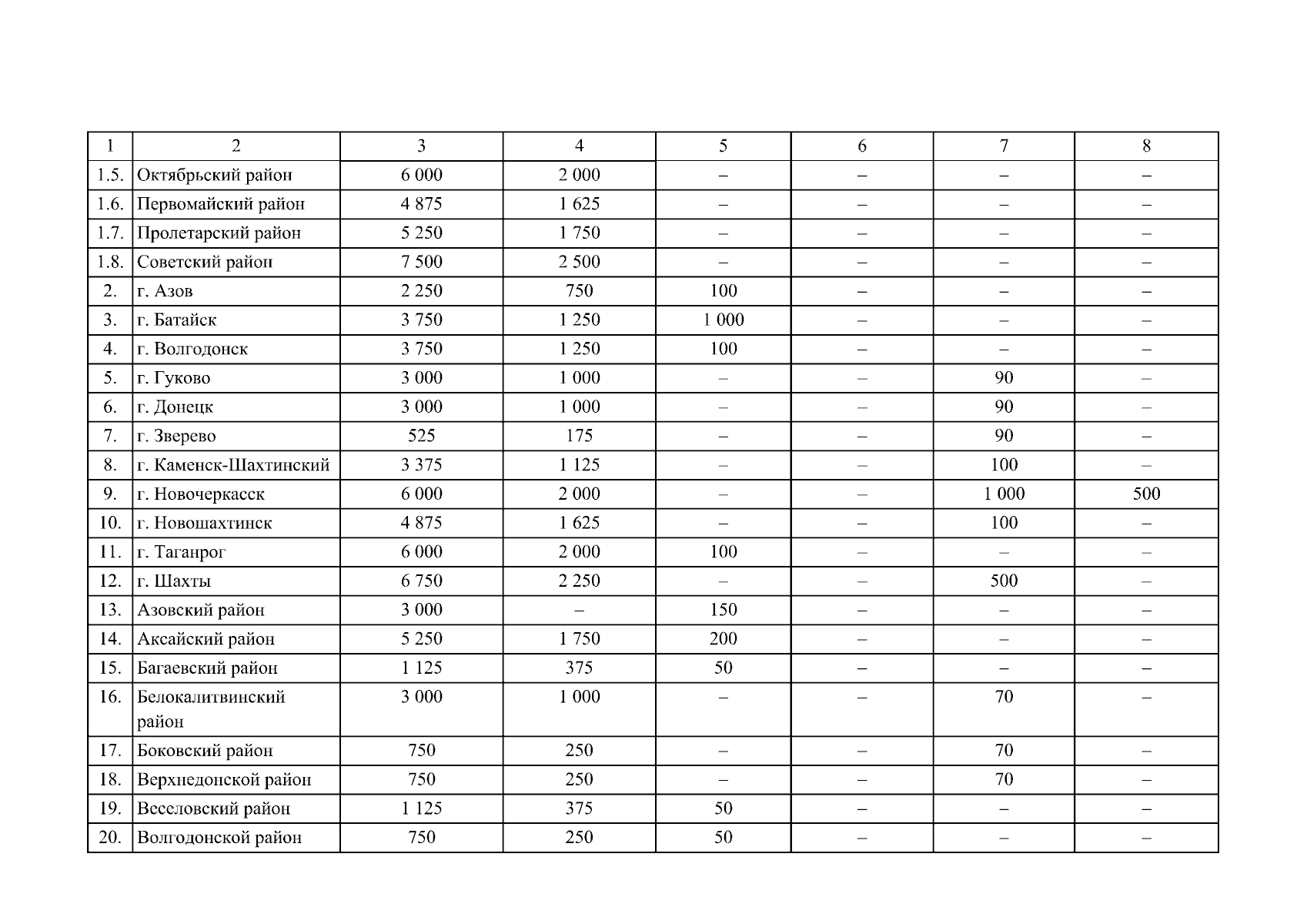
Постановление Правительства Ростовской области от 08.12.2025 № 206
"О порядке и сроках составления списков и запасных списков кандидатов в присяжные заседатели муниципальных образований в Ростовской области"
Номер опубликования: 6100202512100017
Дата опубликования: 10.12.2025
Страница №8 из 13:
Увеличить