Официальное опубликование правовых актов
ОФИЦИАЛЬНОЕ ОПУБЛИКОВАНИЕ
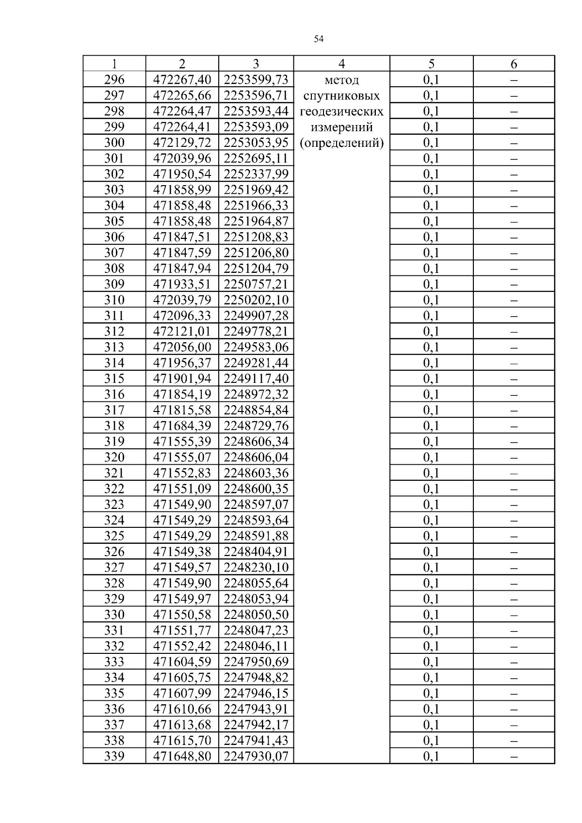
Постановление Правительства Ростовской области от 08.12.2025 № 192
"Об установлении публичного сервитута"
Номер опубликования: 6100202512090013
Дата опубликования: 09.12.2025
Страница №54 из 55:
Увеличить