Официальное опубликование правовых актов
ОФИЦИАЛЬНОЕ ОПУБЛИКОВАНИЕ
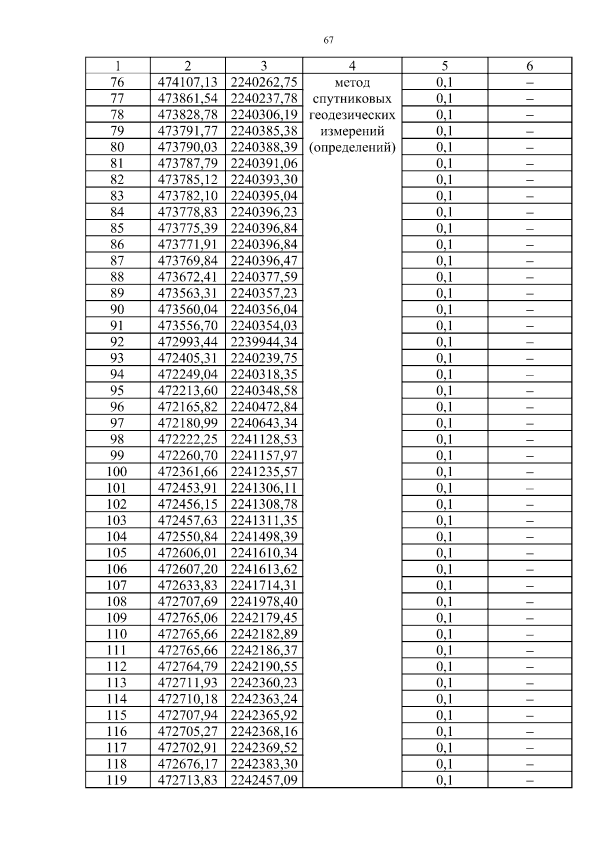
Постановление Правительства Ростовской области от 04.12.2025 № 188
"Об установлении публичного сервитута"
Номер опубликования: 6100202512050008
Дата опубликования: 05.12.2025
Страница №67 из 84:
Увеличить