Официальное опубликование правовых актов
ОФИЦИАЛЬНОЕ ОПУБЛИКОВАНИЕ
Постановление Правительства Ростовской области от 14.11.2025 № 125
"О внесении изменений в постановление Правительства Ростовской области от 22.01.2025 № 23"
Номер опубликования: 6100202511180001
Дата опубликования: 18.11.2025
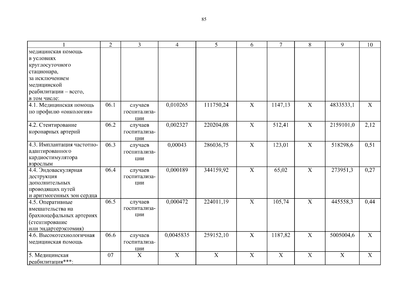
Страница №85 из 162:
Увеличить