Официальное опубликование правовых актов
ОФИЦИАЛЬНОЕ ОПУБЛИКОВАНИЕ
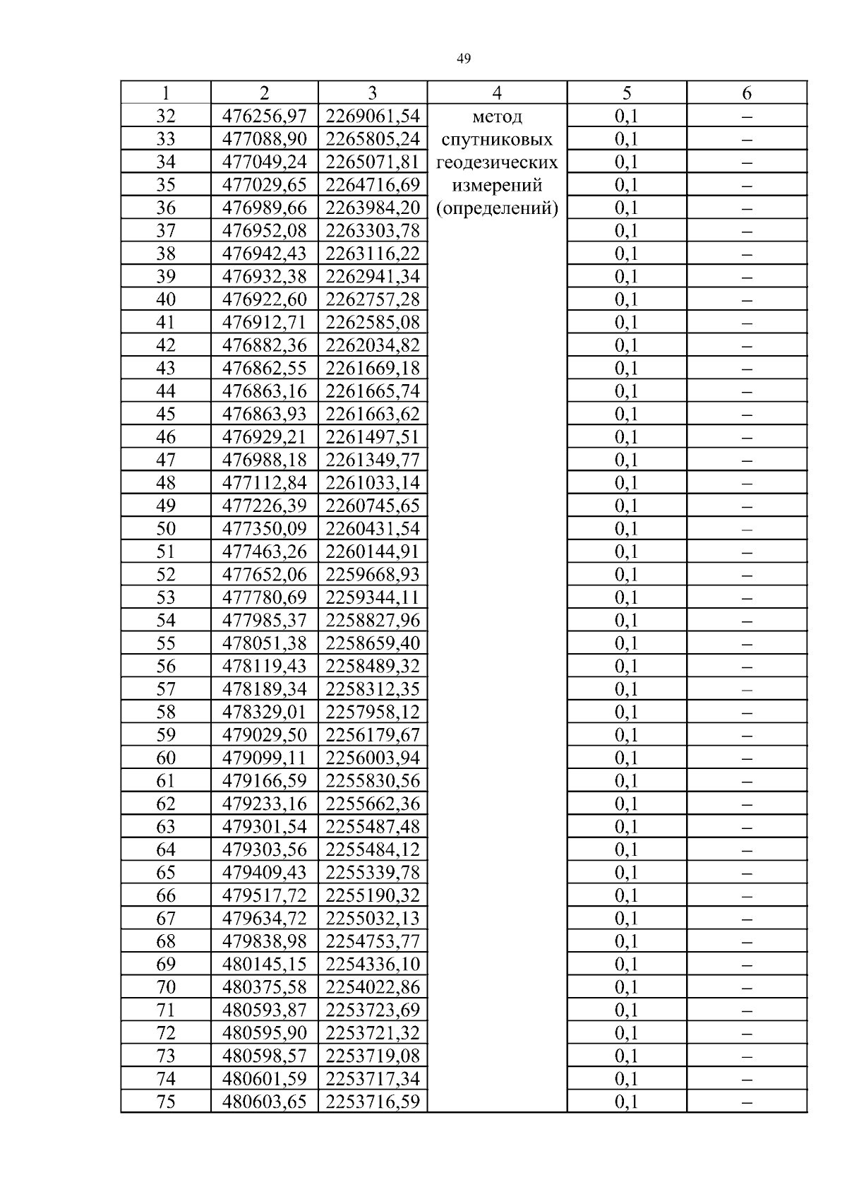
Постановление Правительства Ростовской области от 07.11.2025 № 105
"Об установлении публичного сервитута"
Номер опубликования: 6100202511110003
Дата опубликования: 11.11.2025
Страница №49 из 53:
Увеличить