Официальное опубликование правовых актов
ОФИЦИАЛЬНОЕ ОПУБЛИКОВАНИЕ
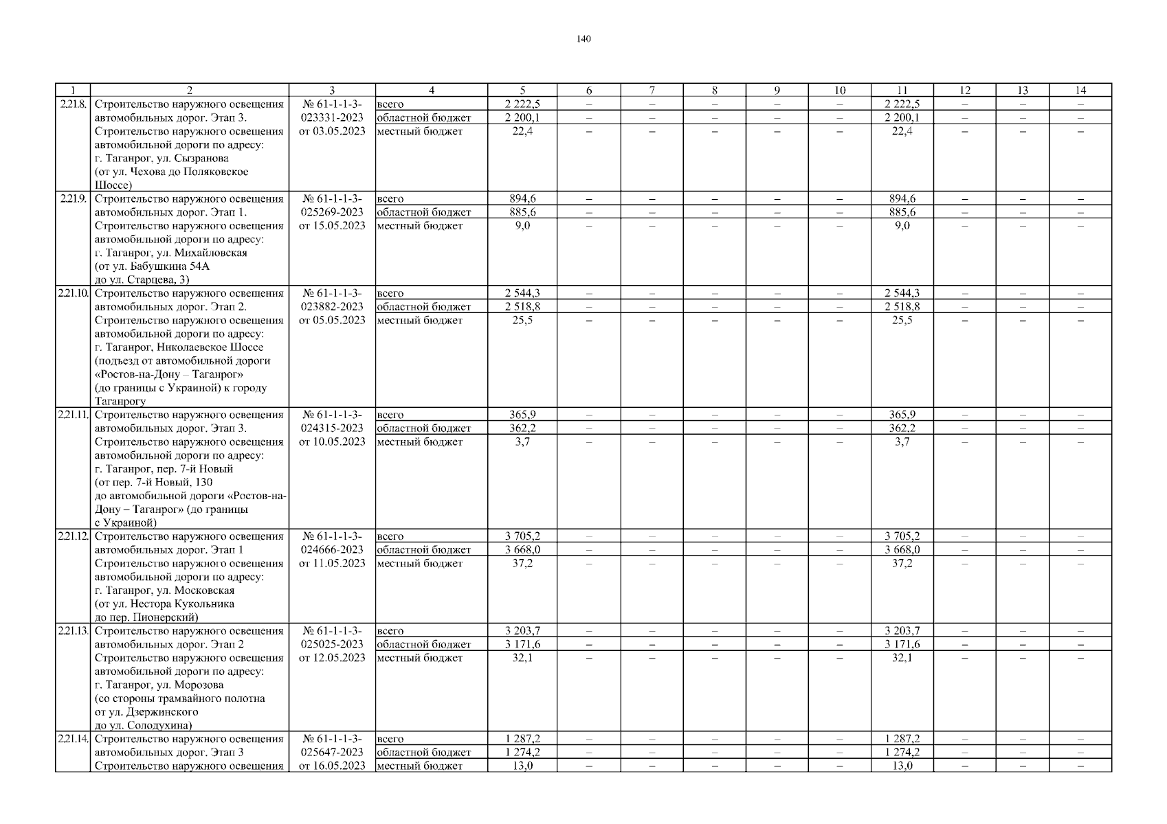
Постановление Правительства Ростовской области от 13.10.2025 № 19
"О внесении изменений в постановление Правительства Ростовской области от 17.10.2018 № 645"
Номер опубликования: 6100202510160006
Дата опубликования: 16.10.2025
Страница №140 из 161:
Увеличить