Официальное опубликование правовых актов
ОФИЦИАЛЬНОЕ ОПУБЛИКОВАНИЕ
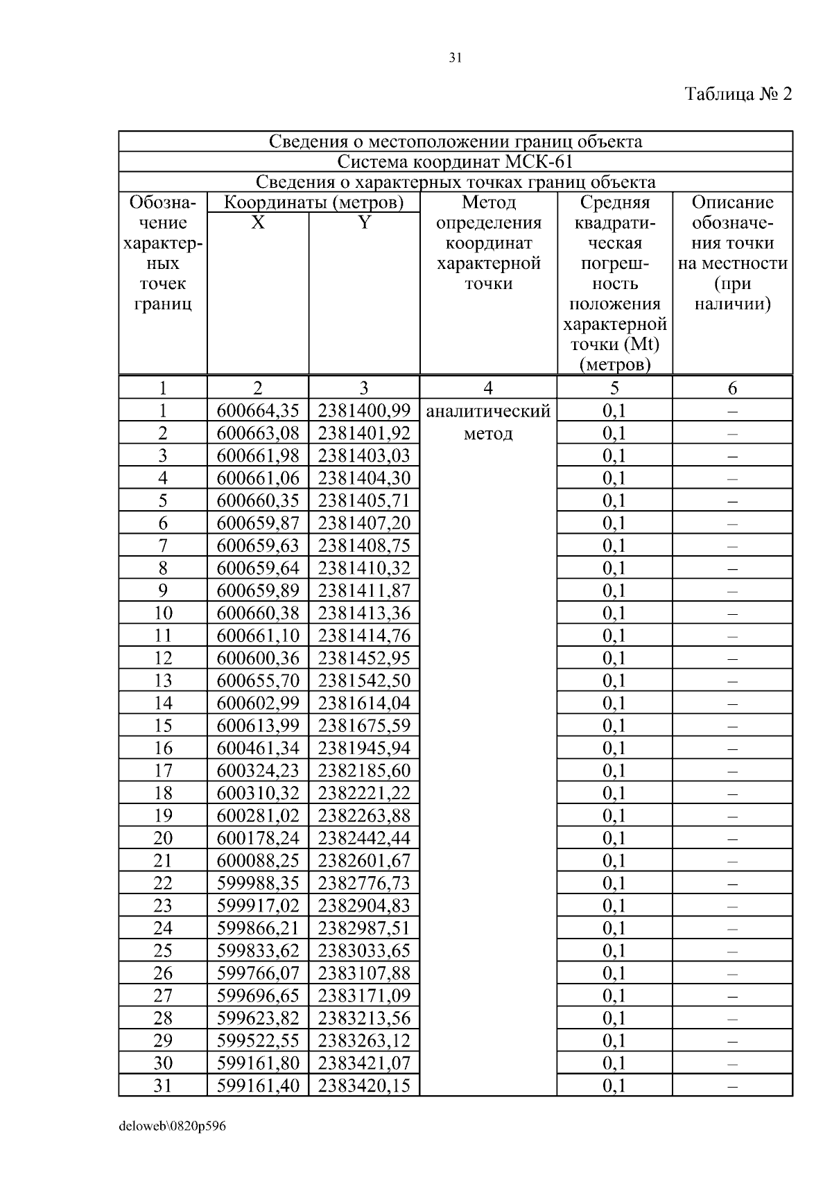
Постановление Правительства Ростовской области от 20.08.2025 № 596
"Об установлении публичного сервитута"
Номер опубликования: 6100202508220009
Дата опубликования: 22.08.2025
Страница №31 из 35:
Увеличить