Официальное опубликование правовых актов
ОФИЦИАЛЬНОЕ ОПУБЛИКОВАНИЕ
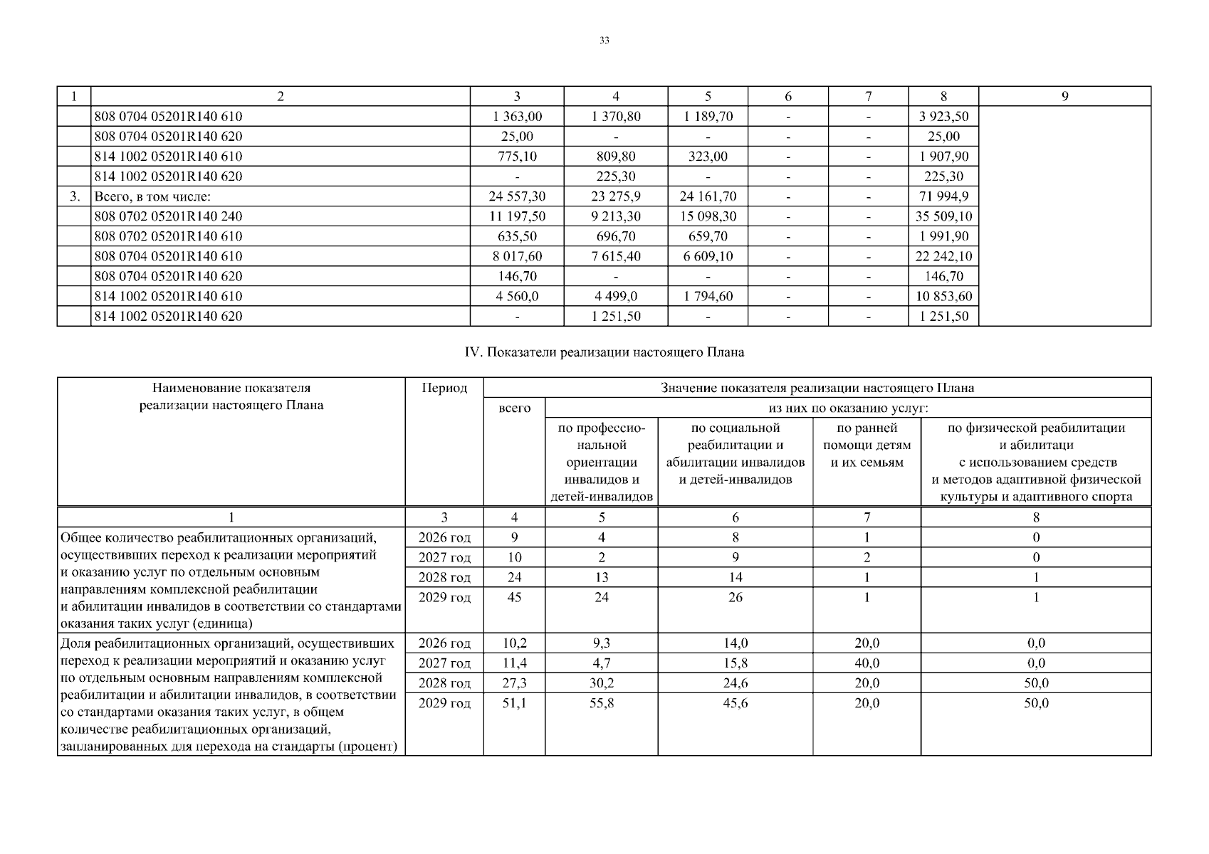
Постановление Правительства Ростовской области от 15.07.2025 № 533
"Об утверждении Плана мероприятий переходного периода по осуществлению реабилитационными организациями в Ростовской области реализации мероприятий и оказания услуг по отдельным основным направлениям комплексной реабилитации и абилитации инвалидов в соответствии со стандартами оказания услуг по отдельным основным направлениям комплексной реабилитации и абилитации инвалидов и со стандартами оказания услуг по ранней помощи детям и их семьям на 2025 – 2029 годы"
Номер опубликования: 6100202507160002
Дата опубликования: 16.07.2025
Страница №33 из 34:
Увеличить