Официальное опубликование правовых актов
ОФИЦИАЛЬНОЕ ОПУБЛИКОВАНИЕ
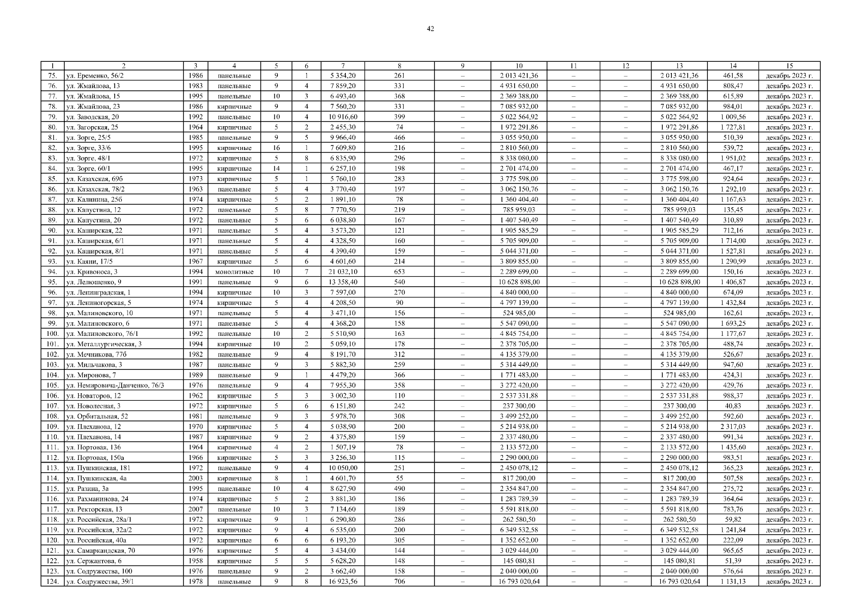
Постановление Правительства Ростовской области от 19.05.2025 № 377
"О внесении изменений в постановление Правительства Ростовской области от 29.12.2022 № 1198"
Номер опубликования: 6100202505210006
Дата опубликования: 21.05.2025
Страница №42 из 91:
Увеличить