Официальное опубликование правовых актов
ОФИЦИАЛЬНОЕ ОПУБЛИКОВАНИЕ
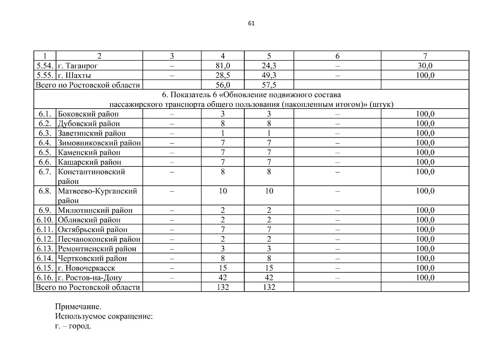
Постановление Правительства Ростовской области от 07.04.2025 № 262
"Об утверждении отчета о реализации государственной программы Ростовской области "Развитие транспортной системы" за 2024 год"
Номер опубликования: 6100202504080003
Дата опубликования: 08.04.2025
Страница №61 из 61:
Увеличить