Официальное опубликование правовых актов
ОФИЦИАЛЬНОЕ ОПУБЛИКОВАНИЕ
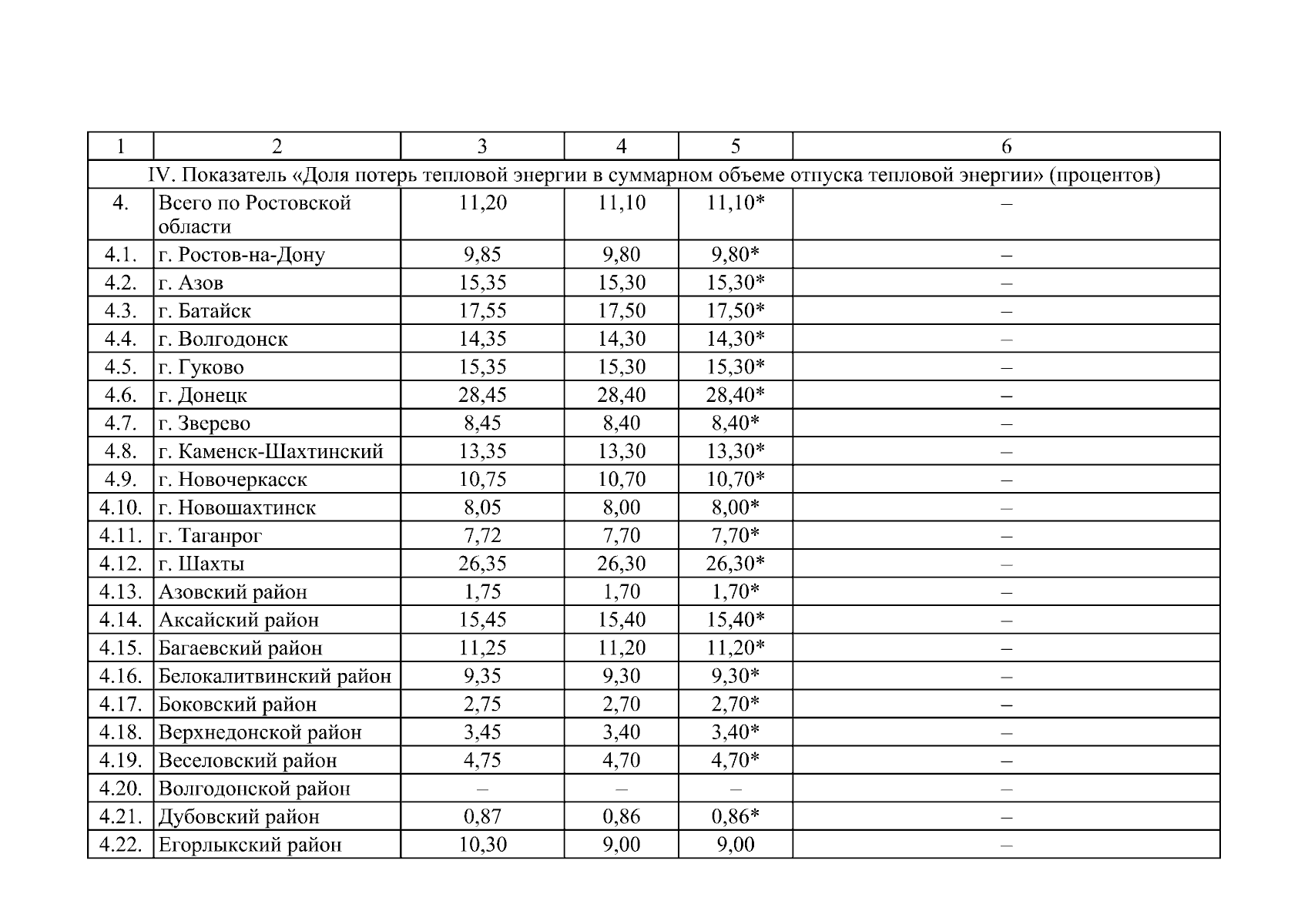
Постановление Правительства Ростовской области от 31.03.2025 № 240
"Об утверждении отчета о реализации государственной программы Ростовской области "Обеспечение качественными жилищно-коммунальными услугами населения Ростовской области" за 2024 год"
Номер опубликования: 6100202504020005
Дата опубликования: 02.04.2025
Страница №50 из 56:
Увеличить