Официальное опубликование правовых актов
ОФИЦИАЛЬНОЕ ОПУБЛИКОВАНИЕ
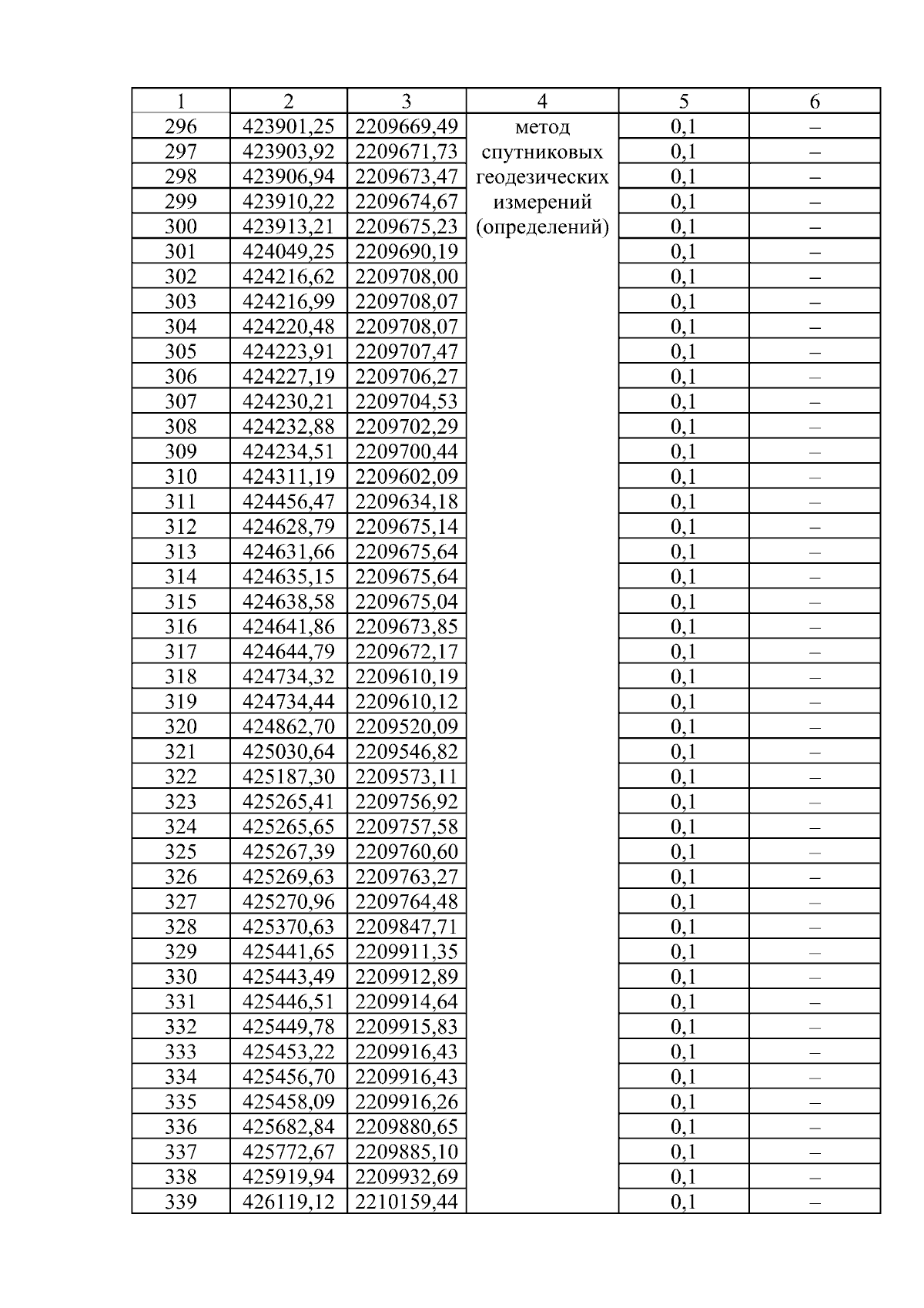
Постановление Правительства Ростовской области от 10.03.2025 № 157
"Об установлении публичного сервитута"
Номер опубликования: 6100202503120011
Дата опубликования: 12.03.2025
Страница №50 из 55:
Увеличить