Официальное опубликование правовых актов
ОФИЦИАЛЬНОЕ ОПУБЛИКОВАНИЕ
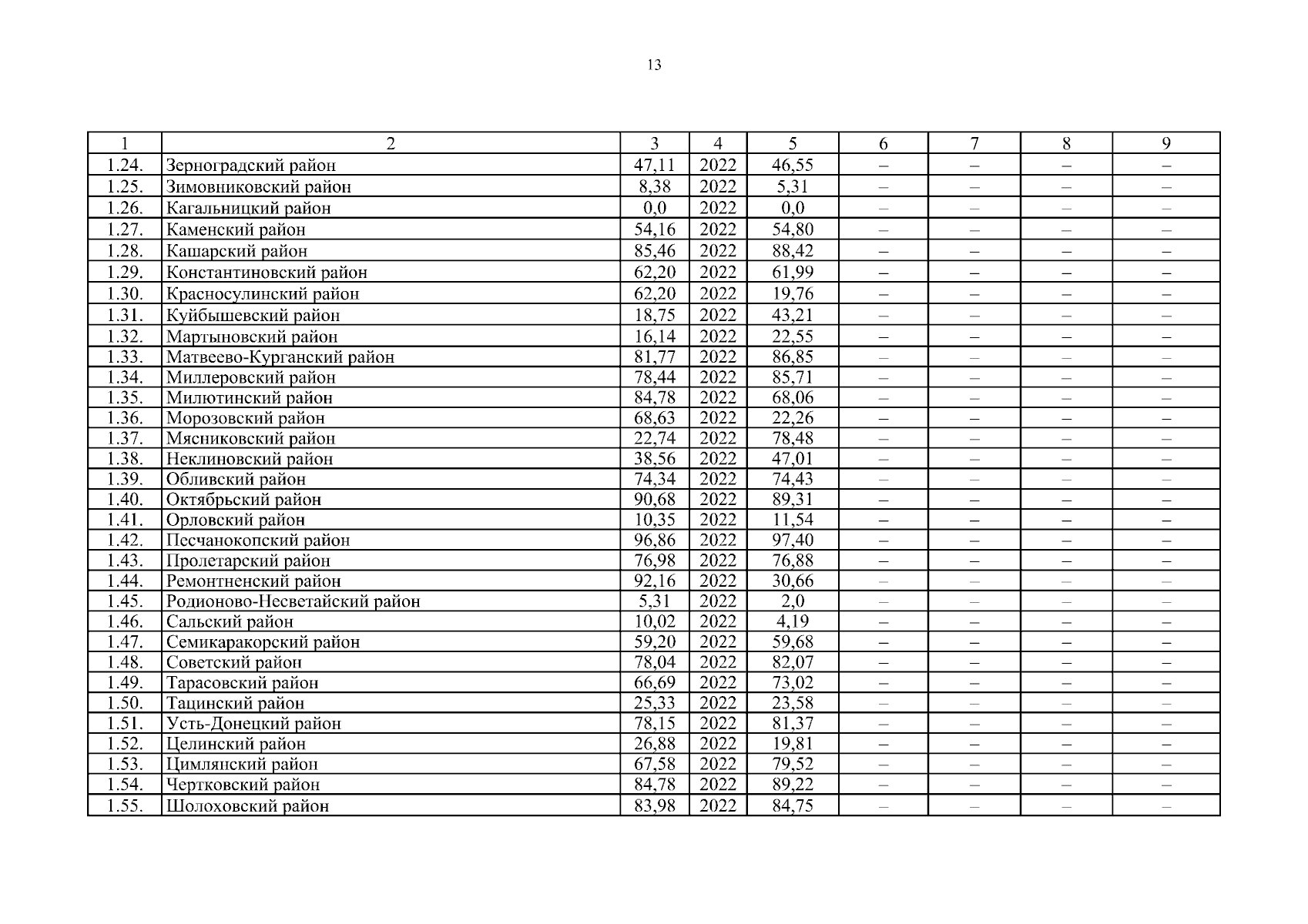
Постановление Правительства Ростовской области от 10.03.2025 № 165
"О внесении изменений в постановление Правительства Ростовской области от 17.10.2018 № 650"
Номер опубликования: 6100202503120004
Дата опубликования: 12.03.2025
Страница №13 из 73:
Увеличить