Официальное опубликование правовых актов
ОФИЦИАЛЬНОЕ ОПУБЛИКОВАНИЕ
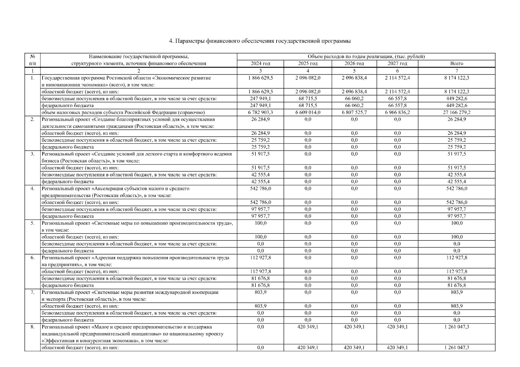
Постановление Правительства Ростовской области от 10.03.2025 № 162
"О внесении изменений в постановление Правительства Ростовской области от 15.10.2018 № 637"
Номер опубликования: 6100202503120003
Дата опубликования: 12.03.2025
Страница №14 из 57:
Увеличить