Официальное опубликование правовых актов
ОФИЦИАЛЬНОЕ ОПУБЛИКОВАНИЕ
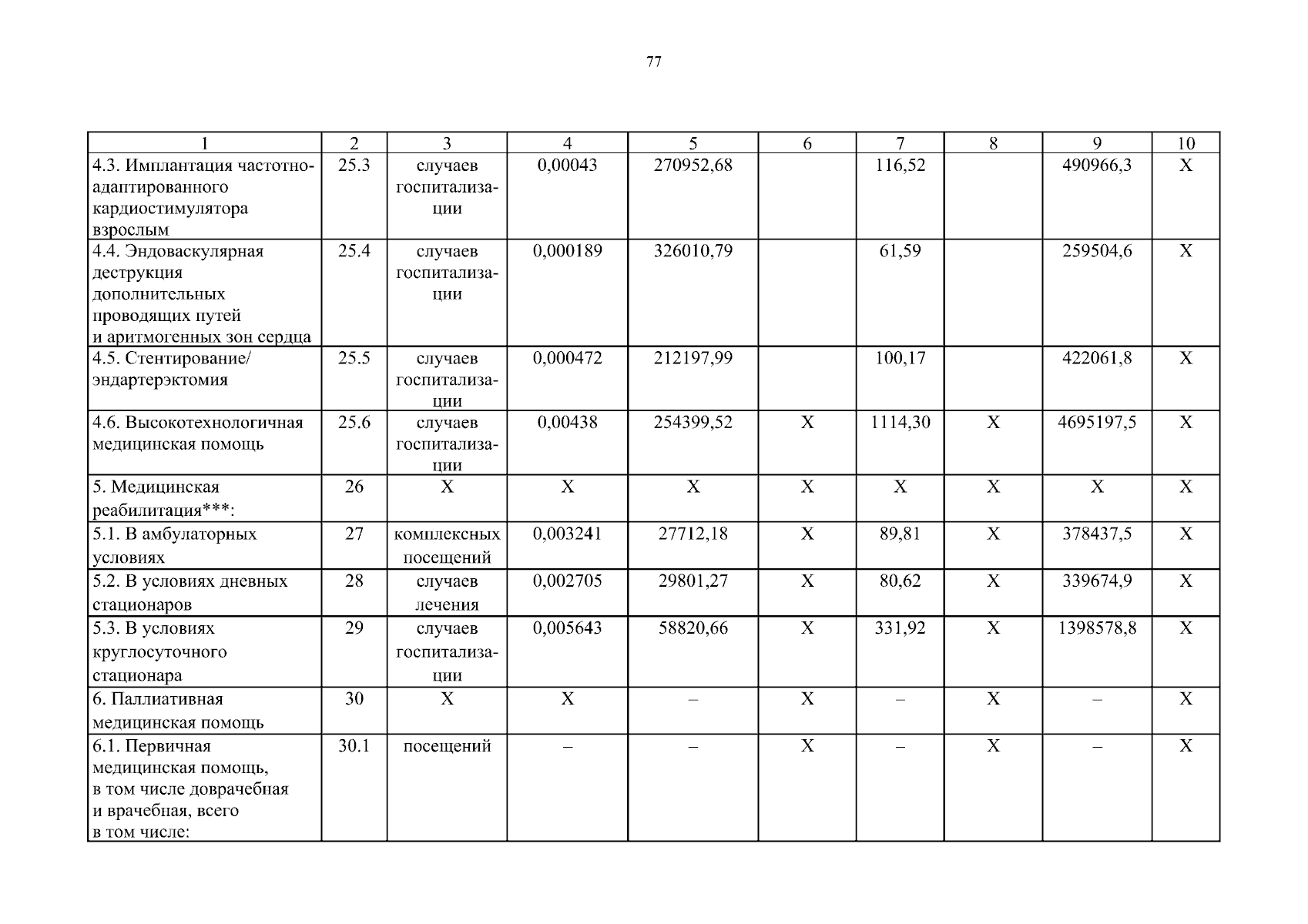
Постановление Правительства Ростовской области от 22.01.2025 № 23
"О Территориальной программе государственных гарантий бесплатного оказания гражданам медицинской помощи в Ростовской области на 2025 год и плановый период 2026 и 2027 годов"
Номер опубликования: 6100202501230009
Дата опубликования: 23.01.2025
Страница №77 из 397:
Увеличить