Официальное опубликование правовых актов
ОФИЦИАЛЬНОЕ ОПУБЛИКОВАНИЕ
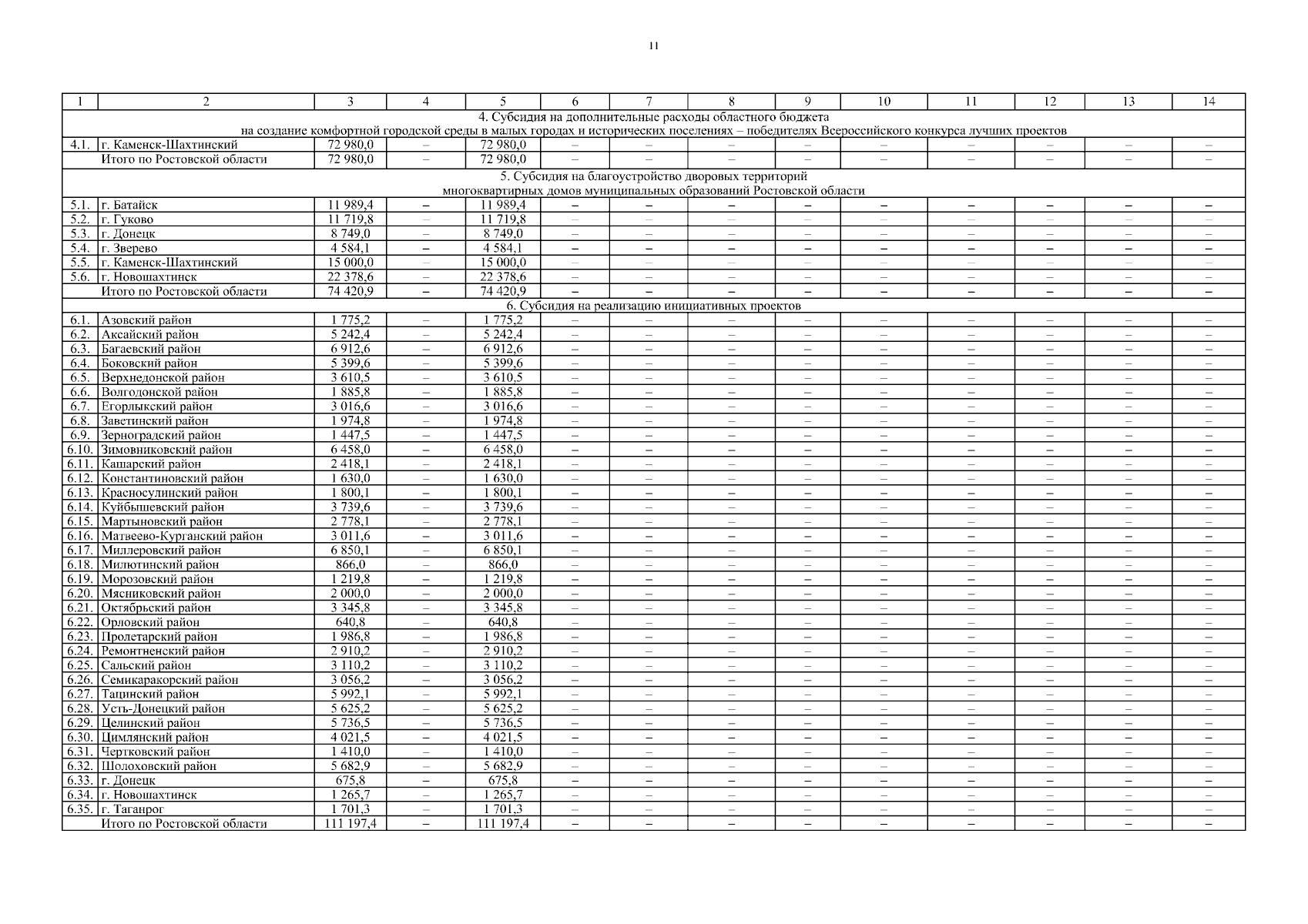
Постановление Правительства Ростовской области от 27.12.2024 № 162
"О внесении изменений в постановление Правительства Ростовской области от 31.08.2017 № 597"
Номер опубликования: 6100202412280011
Дата опубликования: 28.12.2024
Страница №11 из 26:
Увеличить