Официальное опубликование правовых актов
ОФИЦИАЛЬНОЕ ОПУБЛИКОВАНИЕ
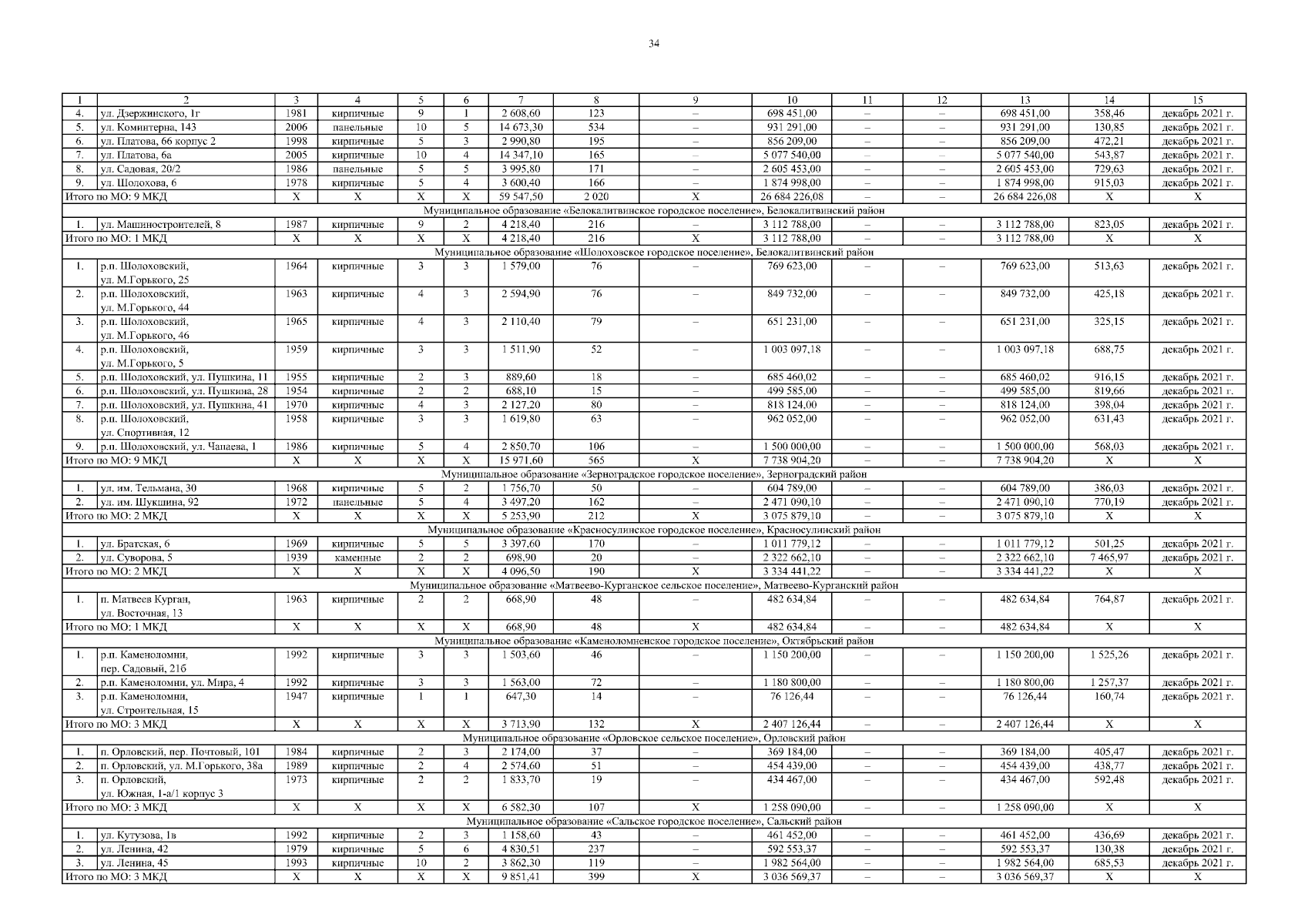
Постановление Правительства Ростовской области от 24.12.2024 № 139
"О внесении изменений в постановление Правительства Ростовской области от 30.12.2020 № 465"
Номер опубликования: 6100202412260023
Дата опубликования: 26.12.2024
Страница №34 из 71:
Увеличить