Официальное опубликование правовых актов
ОФИЦИАЛЬНОЕ ОПУБЛИКОВАНИЕ
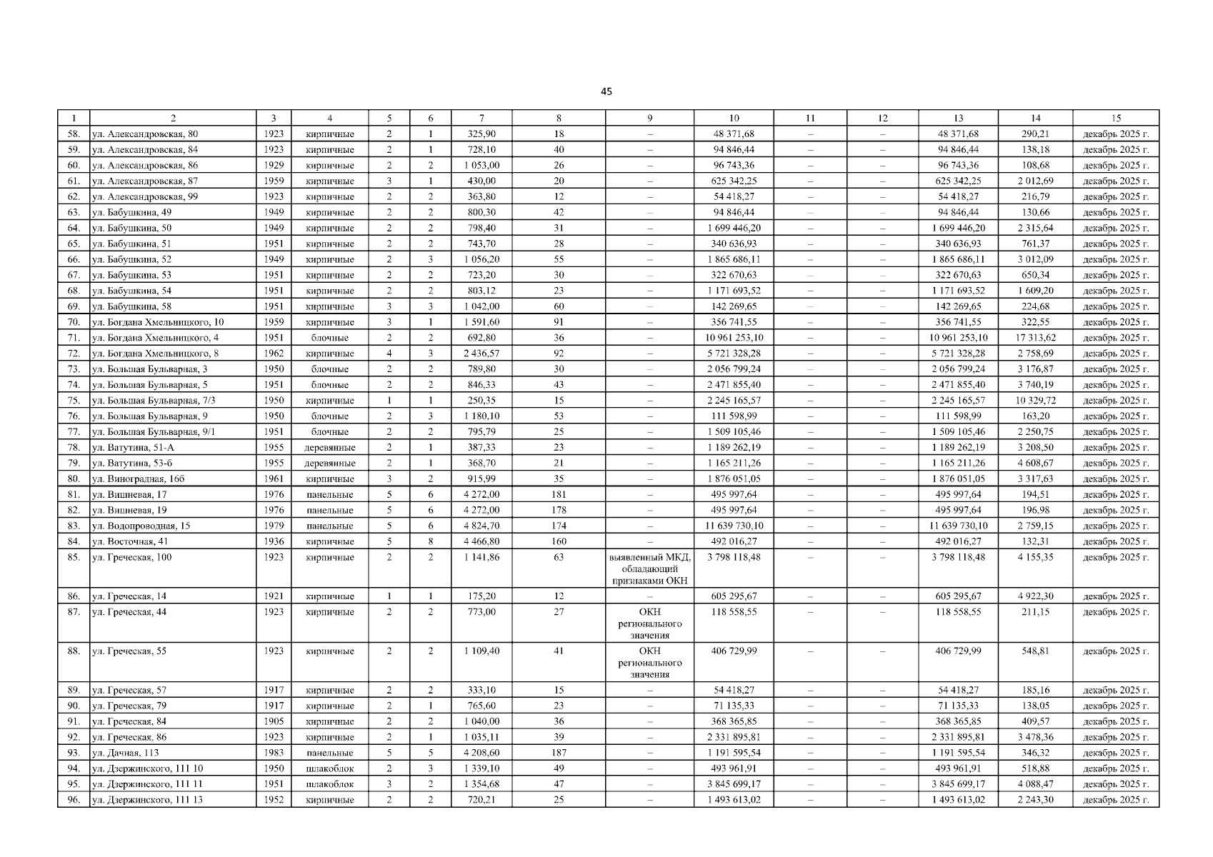
Постановление Правительства Ростовской области от 25.12.2024 № 146
"Об утверждении краткосрочного плана реализации Региональной программы по проведению капитального ремонта общего имущества в многоквартирных домах на территории Ростовской области на 2014 – 2049 годы на 2025 год и плановый период 2026 и 2027 годов"
Номер опубликования: 6100202412260013
Дата опубликования: 26.12.2024
Страница №45 из 395:
Увеличить