Официальное опубликование правовых актов
ОФИЦИАЛЬНОЕ ОПУБЛИКОВАНИЕ
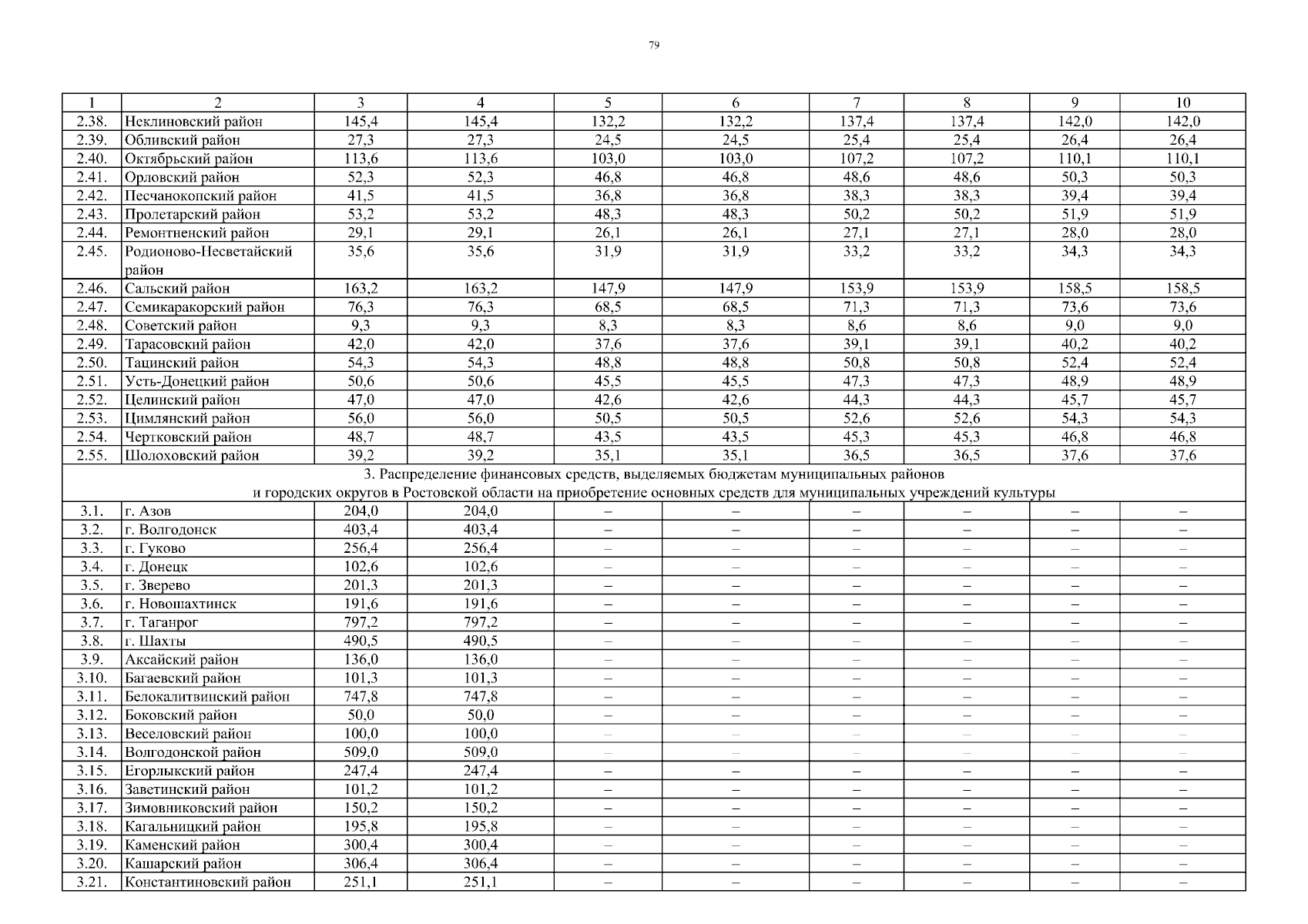
Постановление Правительства Ростовской области от 21.10.2024 № 729
"О внесении изменений в постановление Правительства Ростовской области от 15.10.2018 № 640"
Номер опубликования: 6100202410230015
Дата опубликования: 23.10.2024
Страница №79 из 108:
Увеличить