Официальное опубликование правовых актов
ОФИЦИАЛЬНОЕ ОПУБЛИКОВАНИЕ
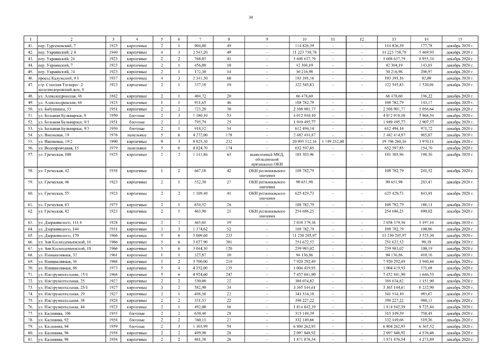
Постановление Правительства Ростовской области от 14.10.2024 № 698
"О внесении изменений в постановление Правительства Ростовской области от 16.10.2019 № 731"
Номер опубликования: 6100202410160019
Дата опубликования: 16.10.2024
Страница №30 из 104:
Увеличить