Официальное опубликование правовых актов
ОФИЦИАЛЬНОЕ ОПУБЛИКОВАНИЕ
Распоряжение Правительства Ростовской области от 30.08.2024 № 707
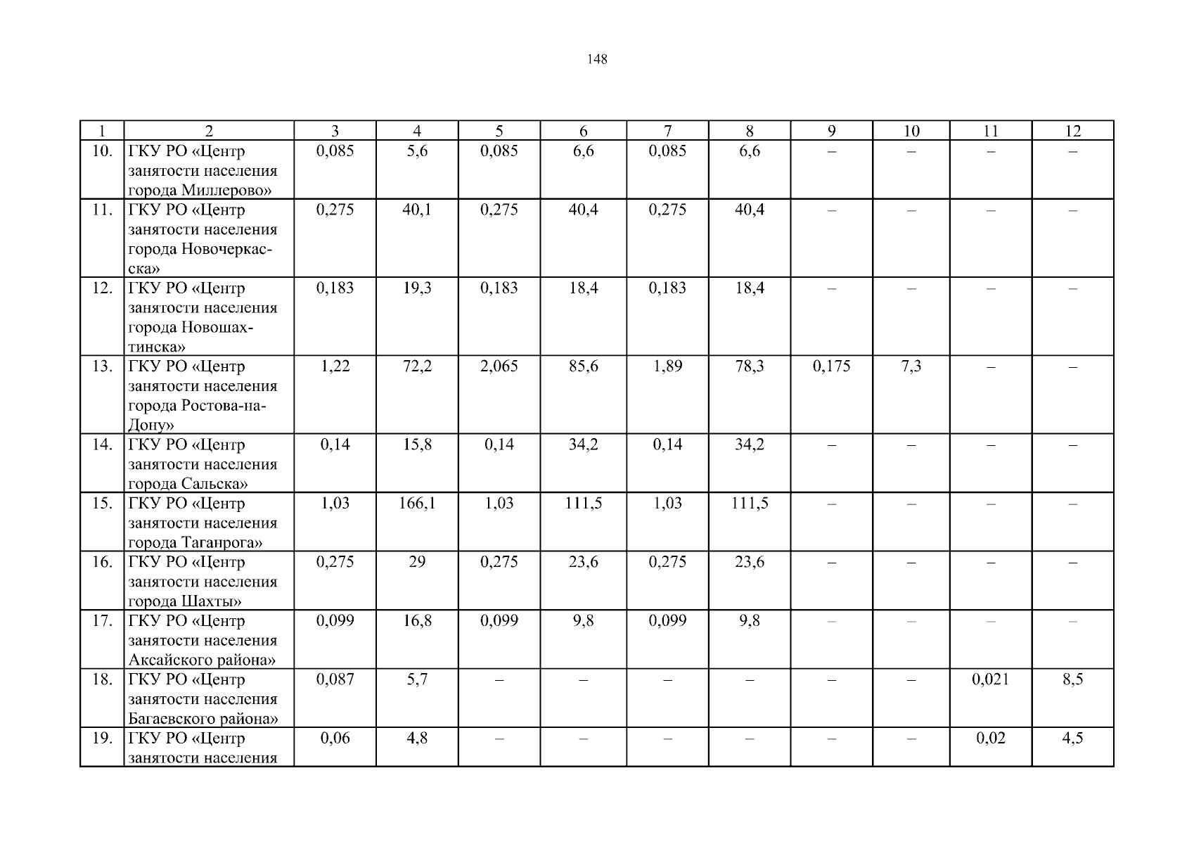
"О прогнозных объемах финансирования и лимитах потребления на услуги по водоснабжению, водоотведению и вывозу жидких бытовых отходов на 2025 год и плановый период 2026 и 2027 годов"
Номер опубликования: 6100202409030010
Дата опубликования: 03.09.2024
Страница №148 из 626:
Увеличить