Официальное опубликование правовых актов
ОФИЦИАЛЬНОЕ ОПУБЛИКОВАНИЕ
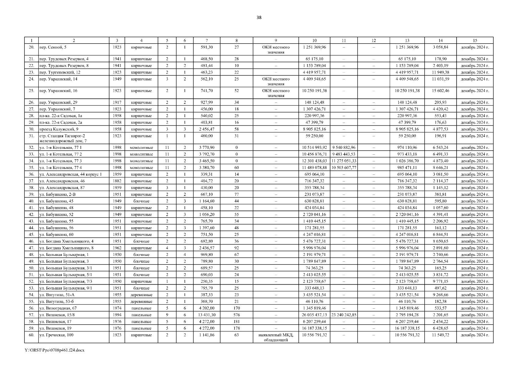
Постановление Правительства Ростовской области от 08.07.2024 № 461
"О внесении изменений в постановление Правительства Ростовской области от 22.12.2023 № 947"
Номер опубликования: 6100202407100016
Дата опубликования: 10.07.2024
Страница №38 из 279:
Увеличить