Официальное опубликование правовых актов
ОФИЦИАЛЬНОЕ ОПУБЛИКОВАНИЕ
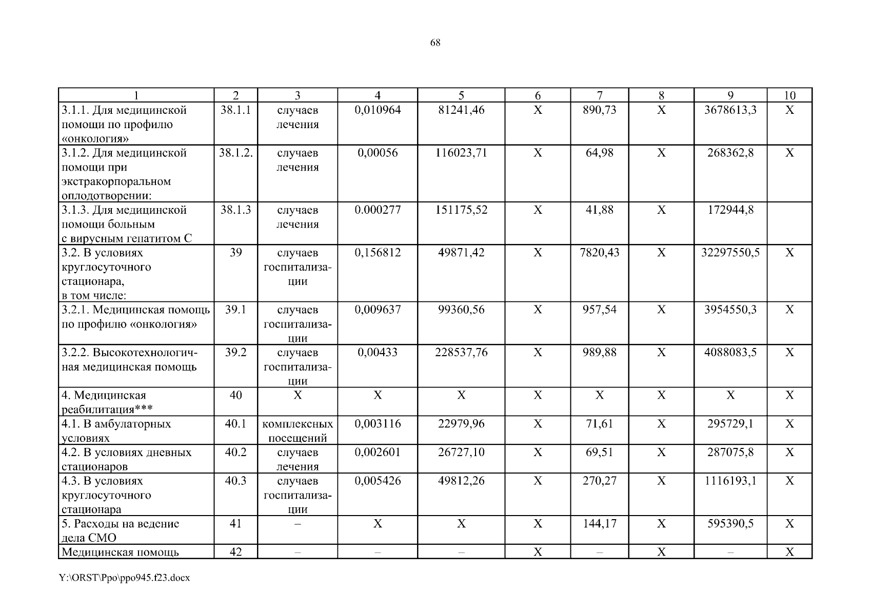
Постановление Правительства Ростовской области от 25.12.2023 № 954
"О Территориальной программе государственных гарантий бесплатного оказания гражданам медицинской помощи в Ростовской области на 2024 год и плановый период 2025 и 2026 годов"
Номер опубликования: 6100202312260017
Дата опубликования: 26.12.2023
Страница №68 из 314:
Увеличить