Официальное опубликование правовых актов
ОФИЦИАЛЬНОЕ ОПУБЛИКОВАНИЕ
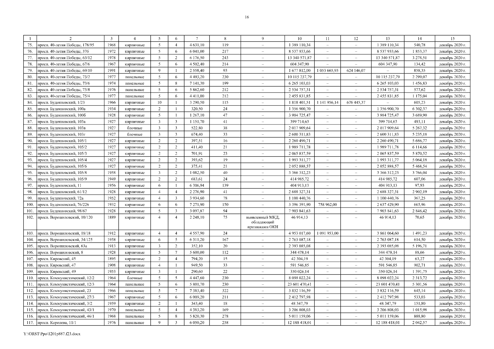
Постановление Правительства Ростовской области от 01.12.2023 № 887
"О внесении изменений в постановление Правительства Ростовской области от 16.10.2019 № 731"
Номер опубликования: 6100202312040006
Дата опубликования: 04.12.2023
Страница №16 из 104:
Увеличить