Официальное опубликование правовых актов
ОФИЦИАЛЬНОЕ ОПУБЛИКОВАНИЕ
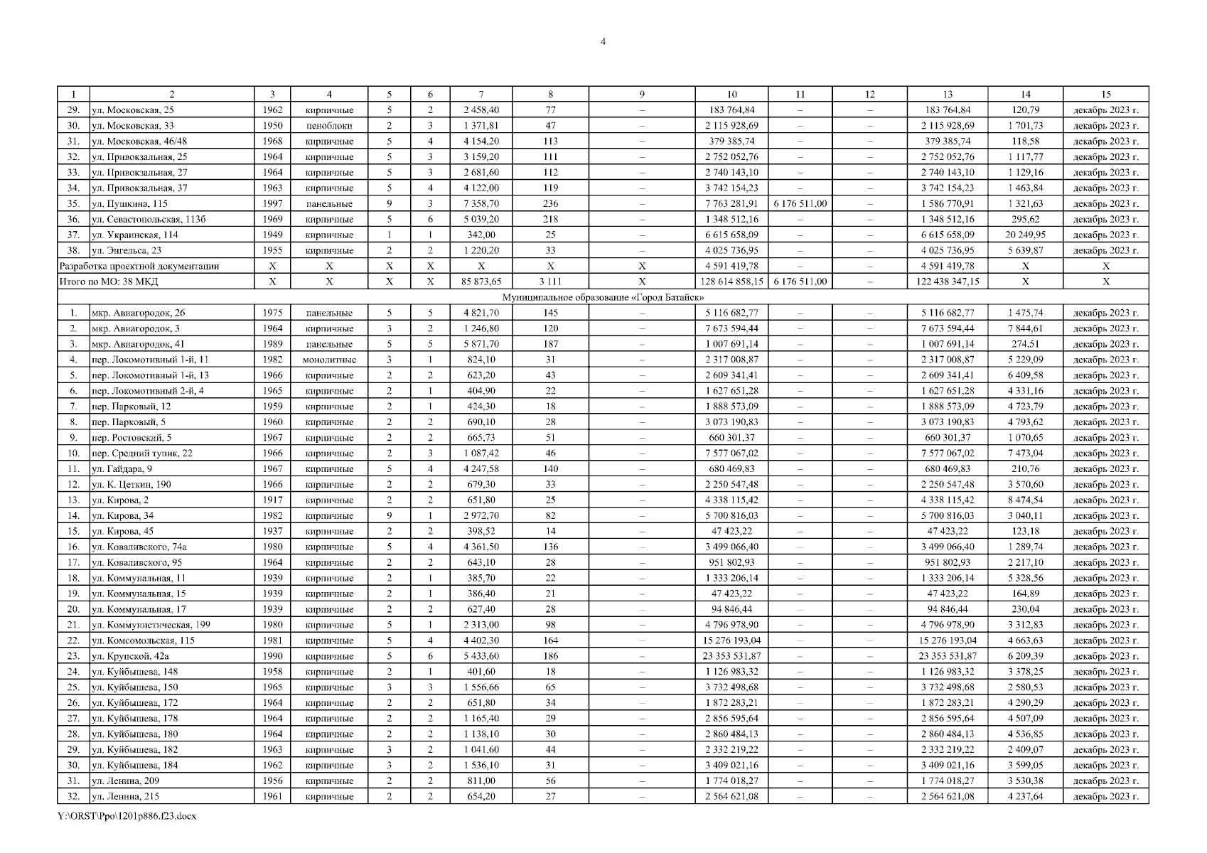
Постановление Правительства Ростовской области от 01.12.2023 № 886
"О внесении изменений в постановление Правительства Ростовской области от 29.12.2022 № 1198"
Номер опубликования: 6100202312040005
Дата опубликования: 04.12.2023
Страница №4 из 118:
Увеличить