Официальное опубликование правовых актов
ОФИЦИАЛЬНОЕ ОПУБЛИКОВАНИЕ
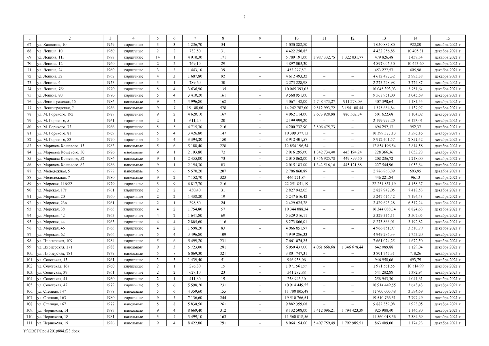
Постановление Правительства Ростовской области от 01.12.2023 № 884
"О внесении изменений в постановление Правительства Ростовской области от 30.12.2020 № 465"
Номер опубликования: 6100202312040003
Дата опубликования: 04.12.2023
Страница №7 из 90:
Увеличить