Официальное опубликование правовых актов
ОФИЦИАЛЬНОЕ ОПУБЛИКОВАНИЕ
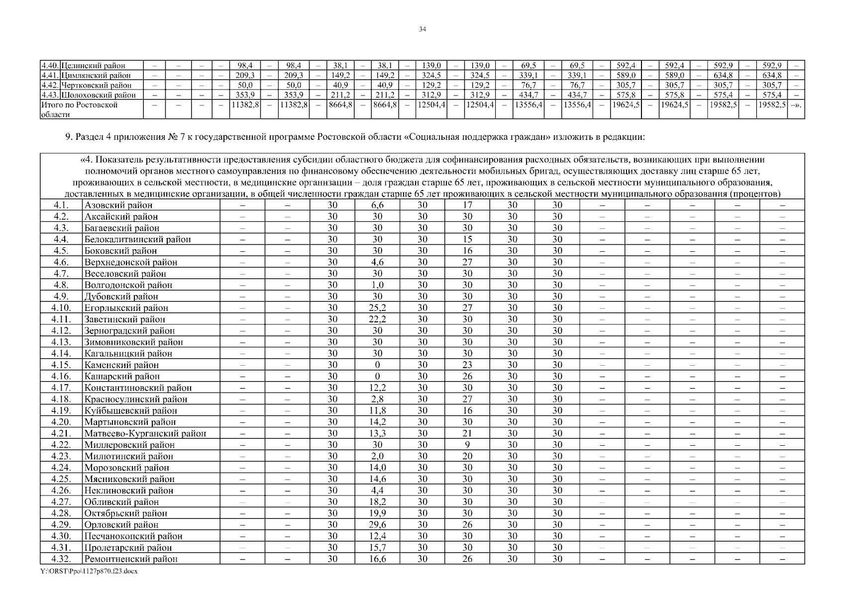
Постановление Правительства Ростовской области от 27.11.2023 № 870
"О внесении изменений в постановление Правительства Ростовской области от 17.10.2018 № 643"
Номер опубликования: 6100202311290014
Дата опубликования: 29.11.2023
Страница №34 из 36:
Увеличить