Официальное опубликование правовых актов
ОФИЦИАЛЬНОЕ ОПУБЛИКОВАНИЕ
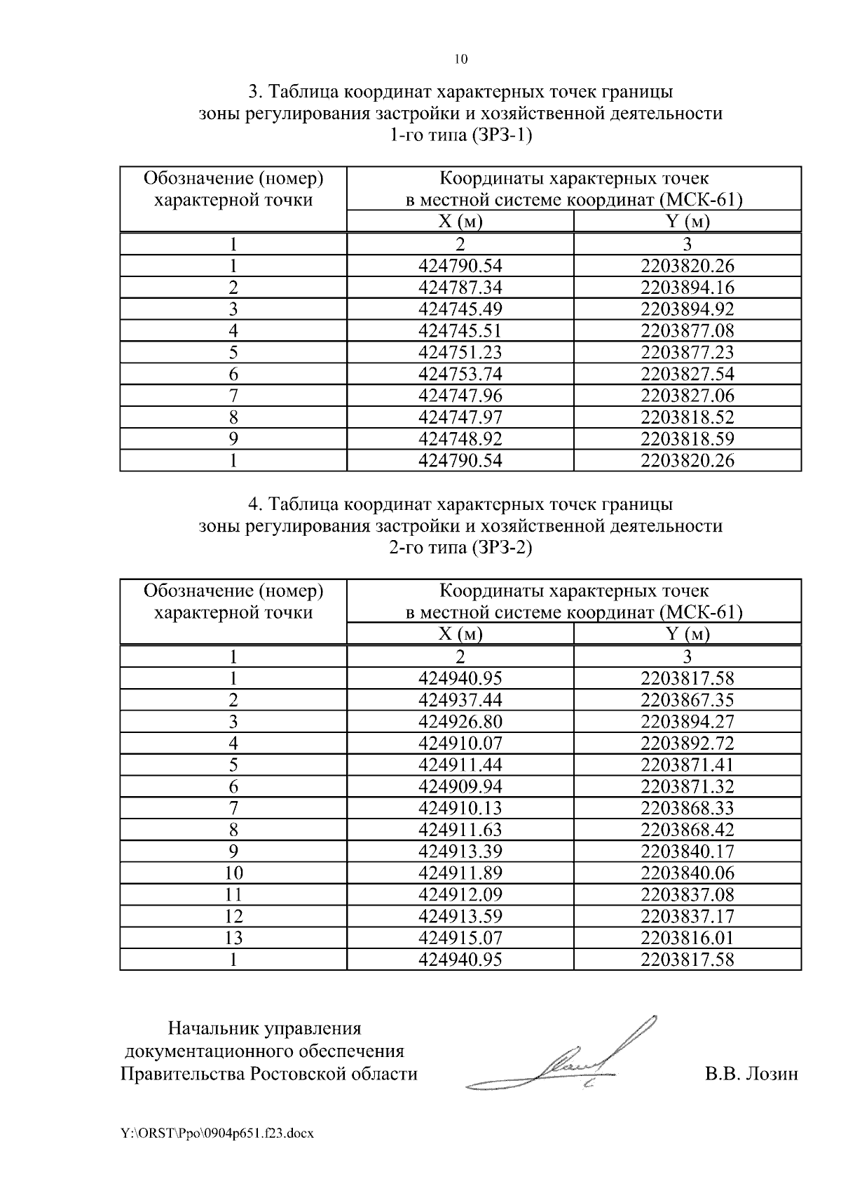
Постановление Правительства Ростовской области от 04.09.2023 № 651
"Об установлении зон охраны объекта культурного наследия федерального значения "Памятник В.И. Ленину" и утверждении требований к градостроительным регламентам в границах территорий данных зон"
Номер опубликования: 6100202309060011
Дата опубликования: 06.09.2023
Страница №10 из 15:
Увеличить