Официальное опубликование правовых актов
ОФИЦИАЛЬНОЕ ОПУБЛИКОВАНИЕ
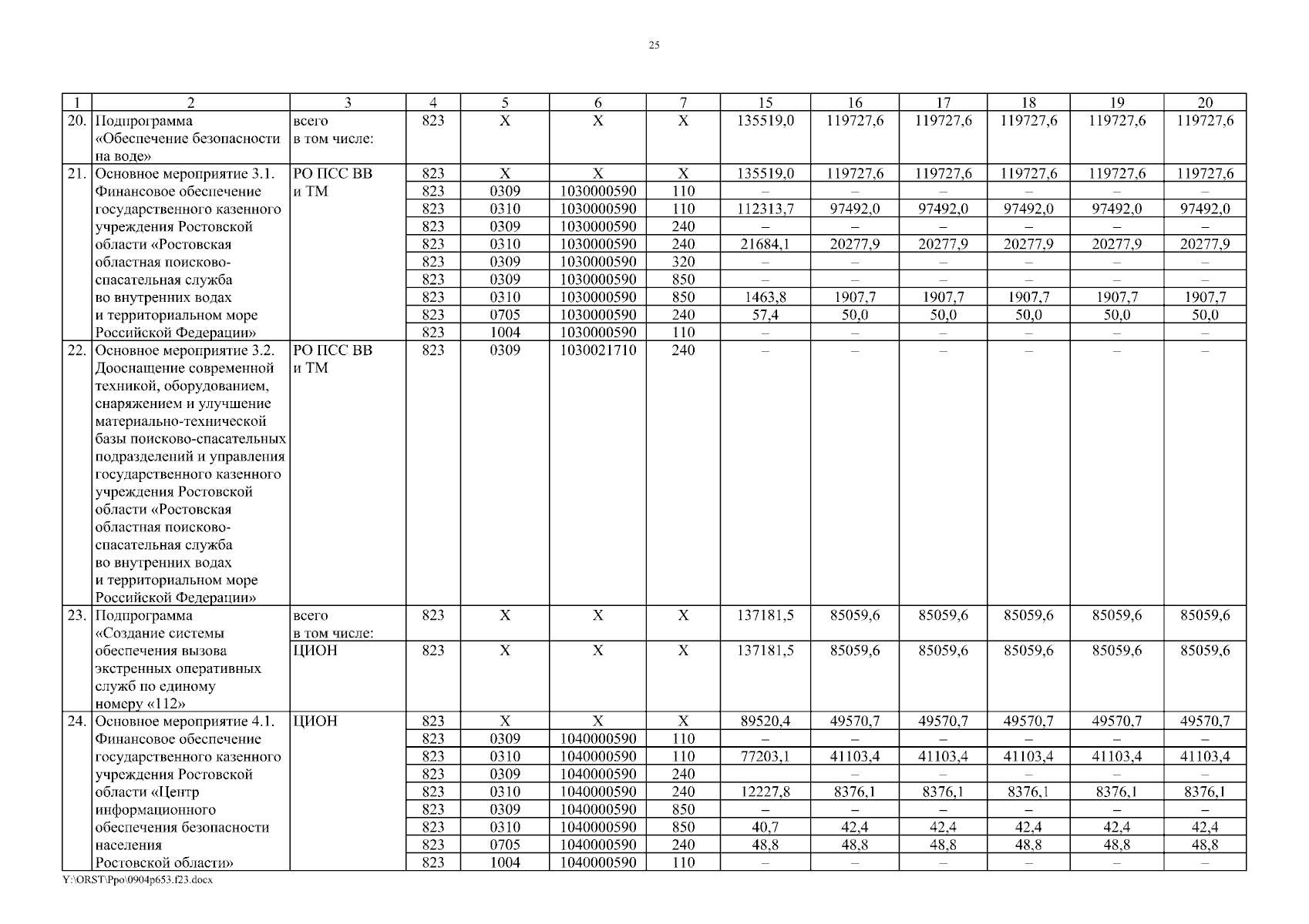
Постановление Правительства Ростовской области от 04.09.2023 № 653
"О внесении изменений в постановление Правительства Ростовской области от 17.10.2018 № 647"
Номер опубликования: 6100202309060001
Дата опубликования: 06.09.2023
Страница №25 из 30:
Увеличить