Официальное опубликование правовых актов
ОФИЦИАЛЬНОЕ ОПУБЛИКОВАНИЕ
Постановление Правительства Ростовской области от 31.07.2023 № 547
"О внесении изменений в постановление Правительства Ростовской области от 30.12.2021 № 1148"
Номер опубликования: 6100202308030012
Дата опубликования: 03.08.2023
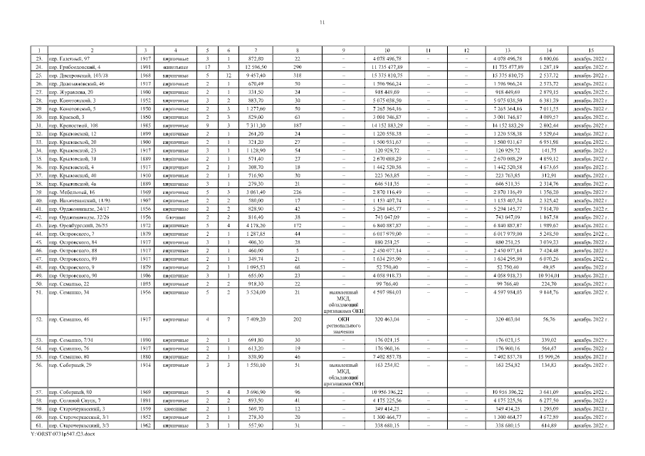
Страница №11 из 98:
Увеличить