Официальное опубликование правовых актов
ОФИЦИАЛЬНОЕ ОПУБЛИКОВАНИЕ
Постановление Правительства Ростовской области от 31.07.2023 № 561
"О внесении изменений в постановление Правительства Ростовской области от 29.12.2022 № 1198"
Номер опубликования: 6100202308030009
Дата опубликования: 03.08.2023
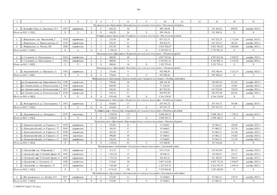
Страница №309 из 388:
Увеличить