Официальное опубликование правовых актов
ОФИЦИАЛЬНОЕ ОПУБЛИКОВАНИЕ
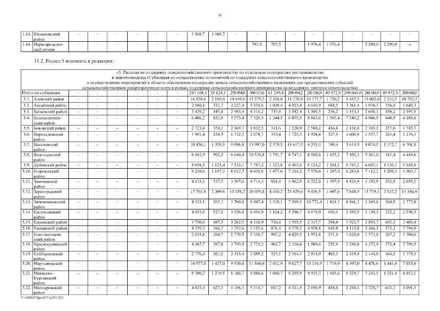
Постановление Правительства Ростовской области от 31.07.2023 № 557
"О внесении изменений в постановление Правительства Ростовской области от 17.10.2018 № 652"
Номер опубликования: 6100202308030008
Дата опубликования: 03.08.2023
Страница №16 из 23:
Увеличить