Официальное опубликование правовых актов
ОФИЦИАЛЬНОЕ ОПУБЛИКОВАНИЕ
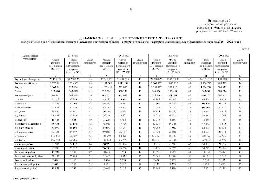
Постановление Правительства Ростовской области от 26.06.2023 № 467
"Об утверждении региональной программы Ростовской области "Повышение рождаемости на 2023 – 2025 годы"
Номер опубликования: 6100202306280005
Дата опубликования: 28.06.2023
Страница №83 из 111:
Увеличить